Letztes “update” :
27/01/2026
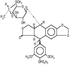
Antikrebsmittel   Etoposide phosphate  
Injektion
Stabilität der Lösung Gemengestabilität Stabilitätbeeinflussende Faktoren Kompatibilitäten Applikationsart Literaturverzeichnis pdf
   Chemische Struktur  

Handelsmarke   Handelsmarke     

Handelsnamen sind als beispielhaft anzusehen. Sonstige Bestandteile können je nach Hersteller oder Land verschieden sein

Etopofos Griechenland, Österreich, Schweden
Etopophos Belgien, Bulgarien, Deutschland, Frankreich, Großbritannien, Israel, Luxemburg, Neuseeland, Niederlande, Polen, Schweiz, Vereinigte Staaten von Amerika
Stabilität der Lösung   Injektion   Stabilität der Lösung : Etoposide phosphate     
Behälter Lösungsmittel Konzentration Temperatur Konservierung Dauer der Stabilität Literaturverzeichnis
Glas Wasser für injektable präparate 10 & 20 mg/ml 2-8°C Ohne Licht
7 Tag
3655
Stabilitätsdaten des Herstellers

Glas Wasser für injektable präparate 10 & 20 mg/ml 25°C Licht
96 Stunde
3655
Stabilitätsdaten des Herstellers

Glas Wasser für injektable präparate 10 & 20 mg/ml 37°C Licht
48 Stunde
3655
Stabilitätsdaten des Herstellers

Glas 0,9% Natriumchlorid > 0,1 mg/ml 2-8°C Ohne Licht
7 Tag
3655
Stabilitätsdaten des Herstellers

Glas 0,9% Natriumchlorid > 0,1 mg/ml 25°C Licht
96 Stunde
3655
Stabilitätsdaten des Herstellers

Glas 0,9% Natriumchlorid > 0,1 mg/ml 37°C Licht
48 Stunde
3655
Stabilitätsdaten des Herstellers

Glas 0,9% Natriumchlorid 10 & 20 mg/ml 2-8°C Ohne Licht
7 Tag
3655
Stabilitätsdaten des Herstellers

Glas 0,9% Natriumchlorid 10 & 20 mg/ml 25°C Licht
96 Stunde
3655
Stabilitätsdaten des Herstellers

Glas 0,9% Natriumchlorid 10 & 20 mg/ml 37°C Licht
48 Stunde
3655
Stabilitätsdaten des Herstellers

Glas 5% Glucose > 0,1 mg/ml 2-8°C Ohne Licht
7 Tag
3655
Stabilitätsdaten des Herstellers

Glas 5% Glucose > 0,1 mg/ml 25°C Licht
96 Stunde
3655
Stabilitätsdaten des Herstellers

Glas 5% Glucose > 0,1 mg/ml 37°C Licht
48 Stunde
3655
Stabilitätsdaten des Herstellers

Glas 5% Glucose 10 & 20 mg/ml 2-8°C Ohne Licht
7 Tag
3655
Stabilitätsdaten des Herstellers

Glas 5% Glucose 10 & 20 mg/ml 25°C Licht
96 Stunde
3655
Stabilitätsdaten des Herstellers

Glas 5% Glucose 10 & 20 mg/ml 37°C Licht
48 Stunde
3655
Stabilitätsdaten des Herstellers

Polyvinylchlorid 0,9% Natriumchlorid > 0,1 mg/ml 2-8°C Ohne Licht
7 Tag
3655
Stabilitätsdaten des Herstellers

Polyvinylchlorid 0,9% Natriumchlorid > 0,1 mg/ml 25°C Licht
96 Stunde
3655
Stabilitätsdaten des Herstellers

Polyvinylchlorid 0,9% Natriumchlorid > 0,1 mg/ml 37°C Licht
48 Stunde
3655
Stabilitätsdaten des Herstellers

Polyvinylchlorid 0,9% Natriumchlorid 0,1 & 10 mg/ml 23°C Nicht genau angegeben
31 Tag
1411
Evidenzgrad B+

Polyvinylchlorid 0,9% Natriumchlorid 0,1 & 10 mg/ml 32°C Nicht genau angegeben
7 Tag
1411
Evidenzgrad B+

Polyvinylchlorid 0,9% Natriumchlorid 0,1 & 10 mg/ml 4°C Ohne Licht
31 Tag
1411
Evidenzgrad B+

Polyvinylchlorid 5% Glucose > 0,1 mg/ml 2-8°C Ohne Licht
7 Tag
3655
Stabilitätsdaten des Herstellers

Polyvinylchlorid 5% Glucose > 0,1 mg/ml 25°C Licht
96 Stunde
3655
Stabilitätsdaten des Herstellers

Polyvinylchlorid 5% Glucose > 0,1 mg/ml 37°C Licht
48 Stunde
3655
Stabilitätsdaten des Herstellers

Polyvinylchlorid 5% Glucose 0,1 & 10 mg/ml 23°C Nicht genau angegeben
31 Tag
1411
Evidenzgrad B+

Polyvinylchlorid 5% Glucose 0,1 & 10 mg/ml 32°C Nicht genau angegeben
7 Tag
1411
Evidenzgrad B+

Polyvinylchlorid 5% Glucose 0,1 & 10 mg/ml 4°C Ohne Licht
31 Tag
1411
Evidenzgrad B+

Polyolefin 0,9% Natriumchlorid > 0,1 mg/ml 2-8°C Ohne Licht
7 Tag
3655
Stabilitätsdaten des Herstellers

Polyolefin 0,9% Natriumchlorid > 0,1 mg/ml 25°C Licht
96 Stunde
3655
Stabilitätsdaten des Herstellers

Polyolefin 0,9% Natriumchlorid > 0,1 mg/ml 37°C Licht
48 Stunde
3655
Stabilitätsdaten des Herstellers

Polyolefin 5% Glucose > 0,1 mg/ml 2-8°C Ohne Licht
7 Tag
3655
Stabilitätsdaten des Herstellers

Polyolefin 5% Glucose > 0,1 mg/ml 25°C Licht
96 Stunde
3655
Stabilitätsdaten des Herstellers

Polyolefin 5% Glucose > 0,1 mg/ml 37°C Licht
48 Stunde
3655
Stabilitätsdaten des Herstellers

 Spritze Polypropylen Bakteriostatisches  Wasser 10 & 20 mg/ml 23°C Nicht genau angegeben
31 Tag
1411
Evidenzgrad B+

 Spritze Polypropylen Bakteriostatisches  Wasser 10 & 20 mg/ml 32°C Nicht genau angegeben
7 Tag
1411
Evidenzgrad B+

 Spritze Polypropylen Bakteriostatisches  Wasser 10 & 20 mg/ml 4°C Ohne Licht
31 Tag
1411
Evidenzgrad B+


  Mentions Légales