Siste oppdatering :
27/01/2026
kreft narkotika   Etoposide phosphate  
Injeksjon
Oppløsningsstabilitet Stabilitet i blandinger Faktorer som påvirker stabiliteten Kompatibilitet Administrasjonsmåte Referanser pdf
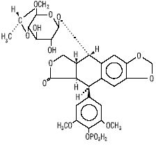
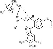
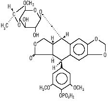
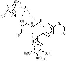
   Kjemisk struktur  

Handelsnavn   Handelsnavn     

Handelsnavn er veiledende og sammensetning av hjelpestoffer kan være forskjellig avhengig av land og produsent

Etopofos Hellas, Sverige, Østerrike
Etopophos Belgia, Bulgaria, Frankrike, Israel, Luxembourg, Nederland, New Zealand, Polen, Storbritannia, Sveits, Tyskland, USA
Oppløsningsstabilitet   Injeksjon   Oppløsningsstabilitet : Etoposide phosphate     
Beholder Oppløsningsmiddel Konsentrasjon Temperatur Oppbevaring Varighet av stabilitet Referanser
Glass Vann til injeksjon 10 & 20 mg/ml 2-8°C Beskyttes mot lys
7 Dag
3655
Stabilitetsopplysninger fra produsent

Glass Vann til injeksjon 10 & 20 mg/ml 25°C Lys
96 Tid
3655
Stabilitetsopplysninger fra produsent

Glass Vann til injeksjon 10 & 20 mg/ml 37°C Lys
48 Tid
3655
Stabilitetsopplysninger fra produsent

Glass Natriumklorid 0,9 % > 0,1 mg/ml 2-8°C Beskyttes mot lys
7 Dag
3655
Stabilitetsopplysninger fra produsent

Glass Natriumklorid 0,9 % > 0,1 mg/ml 25°C Lys
96 Tid
3655
Stabilitetsopplysninger fra produsent

Glass Natriumklorid 0,9 % > 0,1 mg/ml 37°C Lys
48 Tid
3655
Stabilitetsopplysninger fra produsent

Glass Natriumklorid 0,9 % 10 & 20 mg/ml 2-8°C Beskyttes mot lys
7 Dag
3655
Stabilitetsopplysninger fra produsent

Glass Natriumklorid 0,9 % 10 & 20 mg/ml 25°C Lys
96 Tid
3655
Stabilitetsopplysninger fra produsent

Glass Natriumklorid 0,9 % 10 & 20 mg/ml 37°C Lys
48 Tid
3655
Stabilitetsopplysninger fra produsent

Glass Glukose 5 % > 0,1 mg/ml 2-8°C Beskyttes mot lys
7 Dag
3655
Stabilitetsopplysninger fra produsent

Glass Glukose 5 % > 0,1 mg/ml 25°C Lys
96 Tid
3655
Stabilitetsopplysninger fra produsent

Glass Glukose 5 % > 0,1 mg/ml 37°C Lys
48 Tid
3655
Stabilitetsopplysninger fra produsent

Glass Glukose 5 % 10 & 20 mg/ml 2-8°C Beskyttes mot lys
7 Dag
3655
Stabilitetsopplysninger fra produsent

Glass Glukose 5 % 10 & 20 mg/ml 25°C Lys
96 Tid
3655
Stabilitetsopplysninger fra produsent

Glass Glukose 5 % 10 & 20 mg/ml 37°C Lys
48 Tid
3655
Stabilitetsopplysninger fra produsent

Polyvinylklorid Natriumklorid 0,9 % > 0,1 mg/ml 2-8°C Beskyttes mot lys
7 Dag
3655
Stabilitetsopplysninger fra produsent

Polyvinylklorid Natriumklorid 0,9 % > 0,1 mg/ml 25°C Lys
96 Tid
3655
Stabilitetsopplysninger fra produsent

Polyvinylklorid Natriumklorid 0,9 % > 0,1 mg/ml 37°C Lys
48 Tid
3655
Stabilitetsopplysninger fra produsent

Polyvinylklorid Natriumklorid 0,9 % 0,1 & 10 mg/ml 23°C Ikke angitt
31 Dag
1411
Bevisgrad B+

Polyvinylklorid Natriumklorid 0,9 % 0,1 & 10 mg/ml 32°C Ikke angitt
7 Dag
1411
Bevisgrad B+

Polyvinylklorid Natriumklorid 0,9 % 0,1 & 10 mg/ml 4°C Beskyttes mot lys
31 Dag
1411
Bevisgrad B+

Polyvinylklorid Glukose 5 % > 0,1 mg/ml 2-8°C Beskyttes mot lys
7 Dag
3655
Stabilitetsopplysninger fra produsent

Polyvinylklorid Glukose 5 % > 0,1 mg/ml 25°C Lys
96 Tid
3655
Stabilitetsopplysninger fra produsent

Polyvinylklorid Glukose 5 % > 0,1 mg/ml 37°C Lys
48 Tid
3655
Stabilitetsopplysninger fra produsent

Polyvinylklorid Glukose 5 % 0,1 & 10 mg/ml 23°C Ikke angitt
31 Dag
1411
Bevisgrad B+

Polyvinylklorid Glukose 5 % 0,1 & 10 mg/ml 32°C Ikke angitt
7 Dag
1411
Bevisgrad B+

Polyvinylklorid Glukose 5 % 0,1 & 10 mg/ml 4°C Beskyttes mot lys
31 Dag
1411
Bevisgrad B+

Polyolefin Natriumklorid 0,9 % > 0,1 mg/ml 2-8°C Beskyttes mot lys
7 Dag
3655
Stabilitetsopplysninger fra produsent

Polyolefin Natriumklorid 0,9 % > 0,1 mg/ml 25°C Lys
96 Tid
3655
Stabilitetsopplysninger fra produsent

Polyolefin Natriumklorid 0,9 % > 0,1 mg/ml 37°C Lys
48 Tid
3655
Stabilitetsopplysninger fra produsent

Polyolefin Glukose 5 % > 0,1 mg/ml 2-8°C Beskyttes mot lys
7 Dag
3655
Stabilitetsopplysninger fra produsent

Polyolefin Glukose 5 % > 0,1 mg/ml 25°C Lys
96 Tid
3655
Stabilitetsopplysninger fra produsent

Polyolefin Glukose 5 % > 0,1 mg/ml 37°C Lys
48 Tid
3655
Stabilitetsopplysninger fra produsent

Sprøyte polypropylen Vann til injeksjon + antibakterielt middel 10 & 20 mg/ml 23°C Ikke angitt
31 Dag
1411
Bevisgrad B+

Sprøyte polypropylen Vann til injeksjon + antibakterielt middel 10 & 20 mg/ml 32°C Ikke angitt
7 Dag
1411
Bevisgrad B+

Sprøyte polypropylen Vann til injeksjon + antibakterielt middel 10 & 20 mg/ml 4°C Beskyttes mot lys
31 Dag
1411
Bevisgrad B+


  Mentions Légales