Останнє оновлення :
27/04/2026
Антибіотик   Flucloxacillin sodium  
ін'єкція
Стійкість в розчинах Стійкість сумішей Фактори, що впливають на стабільність Сумісність Шлях введення Список літератури pdf
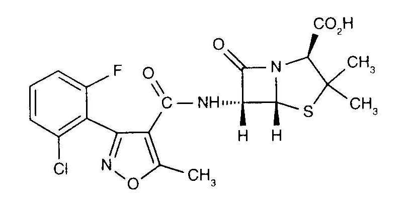
   Хімічна структура  

Торгова назва   Торгова назва     

Торгові назви є орієнтовними, а склад допоміжних речовин може бути різним залежно від країни та виробника

Astaph Марокко
Betabiotic Італія
DBL flucloxacillin sodium Австралія
Flix Туреччина
Floxam Марокко
Floxapen Італія, Австрія, Бельгія, Марокко, Нідерланди, Польща, Португалія, Саудівська Аравія, Сполучені Штати Америки, Швейцарія
Flucloxacillin Італія, Австралія, Великобританія, Німеччина
Flucloxacilline Бельгія, Нідерланди, Франція
Flucloxin Нова Зеландія
Ladropen Сполучені Штати Америки
Stafoxil Нідерланди
Staphylex Німеччина
Стійкість сумішей   ін'єкція   Стійкість сумішей : Flucloxacillin sodium     
7 / 5 000 Résultats de traduction Немає даних

  Mentions Légales