Poslední aktualizace :
27/04/2026
Antibiotikas   Flucloxacillin sodium  
Įpurškimas
Tirpalų stabilumas Mišinių stabilumas Stabilumą lemiantys veiksniai Suderinamumas Leidimo būdai Bibliografija pdf
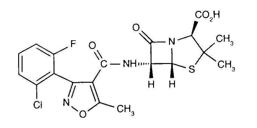
   Cheminė sandara  

Prekinis pavadinimas   Prekinis pavadinimas     

Trade names are indicative and excipients composition can be different depending on the country and manufacturers

Astaph Marokas
Betabiotic Italija
DBL flucloxacillin sodium Australija
Flix Turkija
Floxam Marokas
Floxapen Austrija, Belgija, Italija, Jungtinės Amerikos Valstijos, Lenkija, Marokas, Olandija, Portugalija, Saudo Arabija, Šveicarija
Flucloxacillin Australija, Didžioji Britanija, Italija, Vokietija
Flucloxacilline Belgija, Olandija, Prancūzija
Flucloxin Naujojoje Zelandijoje
Ladropen Jungtinės Amerikos Valstijos
Stafoxil Olandija
Staphylex Vokietija
Mišinių stabilumas   Įpurškimas   Mišinių stabilumas : Flucloxacillin sodium     
Nėra duomenų

  Mentions Légales