Viimeisin päivitys :
27/04/2026
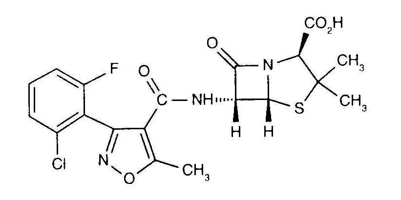
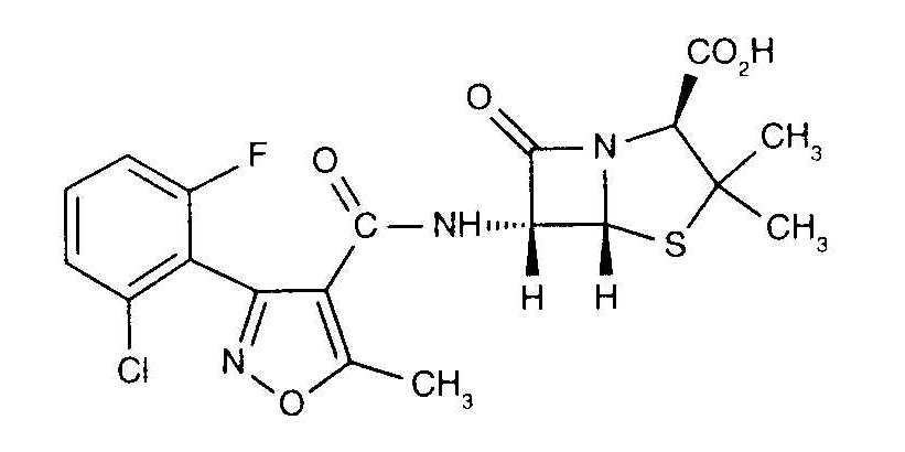
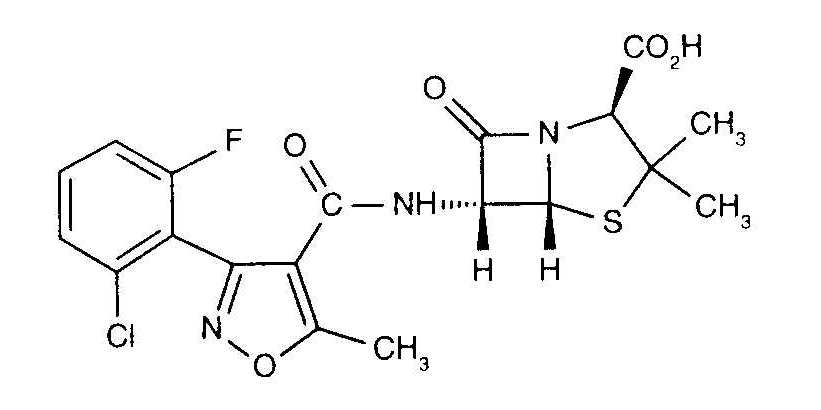
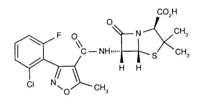
Antibiootit   Flucloxacillin sodium  
Injektioneste
Stabilius liuoksessa Stabilius seoksissa Tekijät, jotka vaikuttavat stabiliuteen Yhteensopivuus Antotapa Viitteet pdf
   Kemiallinen rakenne  

Kauppanimi   Kauppanimi     

Trade names are indicative and excipients composition can be different depending on the country and manufacturers

Astaph Marokko
Betabiotic Italia
DBL flucloxacillin sodium Australia
Flix Turkki
Floxam Marokko
Floxapen Belgia, Hollanti, Italia, Itävalta, Marokko, Portugali, Puola, Saudi-Arabia, Sveitsi, Yhdysvallat
Flucloxacillin Australia, Iso-Britannia, Italia, Saksa
Flucloxacilline Belgia, Hollanti, Ranska
Flucloxin New Zealand
Ladropen Yhdysvallat
Stafoxil Hollanti
Staphylex Saksa
Stabilius seoksissa   Injektioneste   Stabilius seoksissa : Flucloxacillin sodium     
ei tietoa

  Mentions Légales