Última actualização :
27/04/2026
antibiótico   Flucloxacillin sodium  
injetável
Estabilidade em soluções simples Estabilidade em misturas Factores que afectam a sua estabilidade Compatibilidade Método de administração Bibliografía pdf
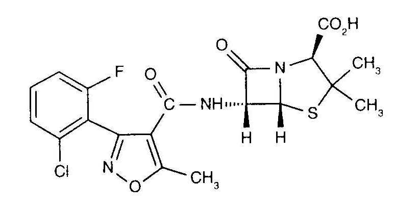
   estrutura química  

Nomes comerciais nos diversos países   Nomes comerciais nos diversos países     

OS NOMES COMERCIAIS SÃO INDICATIVOS E OS EXCIPIENTES DA FORMULAÇÃO PODEM SER DIFERENTES CONFORME O PAÍS E FABRICANTE.

Astaph Marrocos
Betabiotic Itália
DBL flucloxacillin sodium Australia
Flix Turquia
Floxam Marrocos
Floxapen Arábia Saudita, Austria, Bélgica, Estados Unidos de América, Itália, Marrocos, Países Baixos, Polonia, Portugal, Suicia
Flucloxacillin Alemanha, Australia, Gran-bretanha, Itália
Flucloxacilline Bélgica, França, Países Baixos
Flucloxin nova Zelândia
Ladropen Estados Unidos de América
Stafoxil Países Baixos
Staphylex Alemanha
Estabilidade em misturas   injetável   Estabilidade em misturas : Flucloxacillin sodium     
Ausência de dados

  Mentions Légales