Laatste update :
27/04/2026
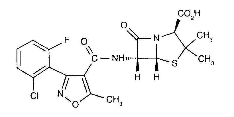
Antibioticum   Flucloxacillin sodium  
injecteerbaar geneesmiddel
Stabiliteit in oplossing Stabiliteit in mengsels Factoren die de stabiliteit beïnvloeden Verenigbaarheden Toedieningswijze Literatuur pdf
   Molecuulstructuur  

Merknamen in verschillende landen   Merknamen in verschillende landen     

Handelsnamen zijn slechts een indicatie; de samenstelling van hulpstoffen kan per land variëren afhankelijk van de fabrikant

Astaph Marokko
Betabiotic Italië
DBL flucloxacillin sodium Australië
Flix Turkije
Floxam Marokko
Floxapen België, Italië, Marokko, Nederland, Oostenrijk, Polen, Portugal, Saudi-Arabië, USA, Zwitserland
Flucloxacillin Australië, Duitsland, Groot Britannië, Italië
Flucloxacilline België, Frankrijk, Nederland
Flucloxin nieuw Zeeland
Ladropen USA
Stafoxil Nederland
Staphylex Duitsland
Stabiliteit in mengsels   injecteerbaar geneesmiddel   Stabiliteit in mengsels : Flucloxacillin sodium     
geen gegevens

  Mentions Légales