Последнее обновление :
27/04/2026
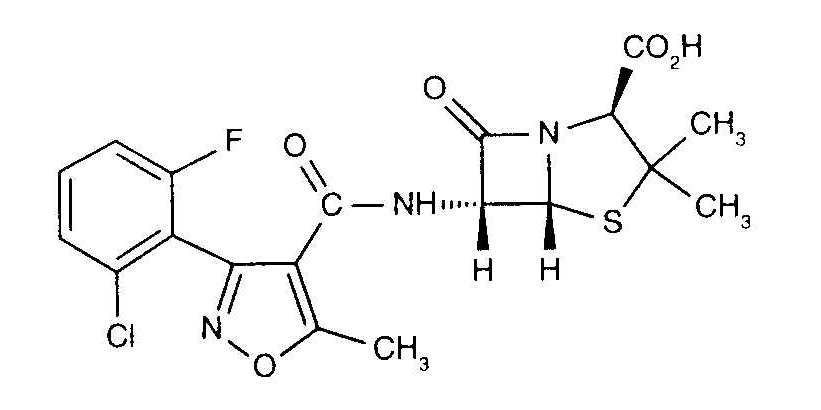
Антибиотик   Flucloxacillin sodium  
Инъекция
Стабильность растворов Стабильность смесей Факторы, которые влияют на стабильность Совместимость Способы введения Библиография pdf
   Химическая структура  

Товарное название   Товарное название     

Trade names are indicative and excipients composition can be different depending on the country and manufacturers

Astaph Марокко
Betabiotic Италия
DBL flucloxacillin sodium Австралия
Flix Турция
Floxam Марокко
Floxapen Австрия, Бельгия, Голландия, Италия, Марокко, Польша, Португалия, Саудовская Аравия, Соединённые Штаты Америки, Швейцария
Flucloxacillin Австралия, Великобритания, Германия, Италия
Flucloxacilline Бельгия, Голландия, Франция
Flucloxin новая Зеландия
Ladropen Соединённые Штаты Америки
Stafoxil Голландия
Staphylex Германия
Стабильность смесей   Инъекция   Стабильность смесей : Flucloxacillin sodium     
данных нет

  Mentions Légales