Senaste uppdateringen :
27/04/2026
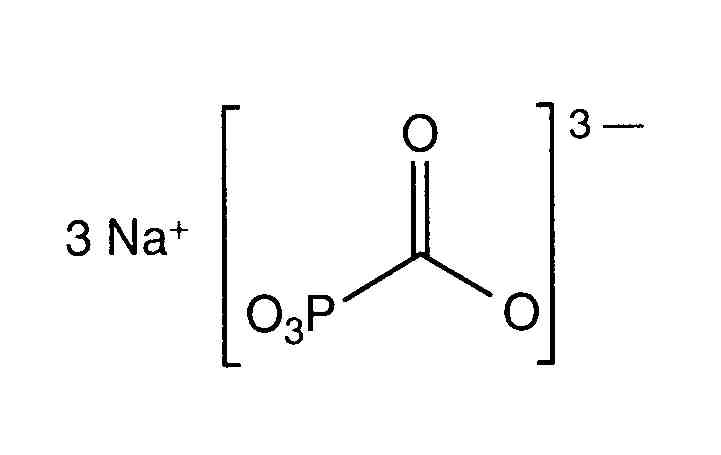
Antiviralt medel   Foscarnet sodium  
injektion
Lösningars stabilitet Stabilitet i blandningar Faktorer som påverkar stabiliteten Kompatibilitet Administreringssätt Hänvisningar pdf
   Molekylstruktur  

Varunamn   Varunamn     

Angivna handelsnamn på läkemedel är enbart vägledande då formulering inklusive hjälpämnen kan variera mellan länder och tillverkare

Foscarnet Argentina, Chile, Colombia, Ecuador, Förenta Staterna, Mexiko, Peru, Portugal, Spanien
Foscavir Australien, Belgien, Förenta Staterna, Frankrike, Grekland, Italien, Luxemburg, Nederländerna, nya Zeeland, Österrike, Schweiz, Spanien, Storbritannien, Sverige, Tyskland, Ungern
Lösningars stabilitet   injektion   Lösningars stabilitet : Foscarnet sodium     
Behållare Lösningsmedel Koncentration Temperatur Förvaring Stabilitets varaktighet Hänvisningar
Polyvinylklorid Natriumklorid 0,9 % 12 mg/ml 25°C Med eller utan ljus
30 Dag
2
Evidensnivå C

Polyvinylklorid Natriumklorid 0,9 % 12 mg/ml 25°C Ej angiven
35 Dag
75
Evidensnivå C

Polyvinylklorid Natriumklorid 0,9 % 12 mg/ml 5°C Skyddas från ljus
30 Dag
2
Evidensnivå C

Polyvinylklorid Natriumklorid 0,9 % 12 mg/ml 5°C Skyddas från ljus
35 Dag
75
Evidensnivå C

Polyvinylklorid Glukos 5 % 12 mg/ml 25°C Ej angiven
35 Dag
75
Evidensnivå C

Polyvinylklorid Glukos 5 % 12 mg/ml 5°C Skyddas från ljus
35 Dag
75
Evidensnivå C

Polyisopren elastomer Natriumklorid 0,9 % 2 & 20 mg/ml 25°C Ej angiven
4 Dag
604
Tillverkarens stabilitetsuppgifter

Polyisopren elastomer Natriumklorid 0,9 % 2 & 20 mg/ml 4°C Skyddas från ljus
14 Dag
604
Tillverkarens stabilitetsuppgifter

Polyisopren elastomer Glukos 5 % 2 & 20 mg/ml 25°C Ej angiven
4 Dag
604
Tillverkarens stabilitetsuppgifter

Polyisopren elastomer Glukos 5 % 2 & 20 mg/ml 4°C Skyddas från ljus
14 Dag
604
Tillverkarens stabilitetsuppgifter


  Mentions Légales