Cập nhật lần cuối :
27/04/2026
Thuốc kháng virus   Foscarnet sodium  
Dạng tiêm
Tính ổn định của các dung dịch Độ ổn định khi trộn lẫn Những yếu tố ảnh hưởng đến độ ổn định Khả năng tương thích Đường dùng Tài liệu tham khảo Pdf
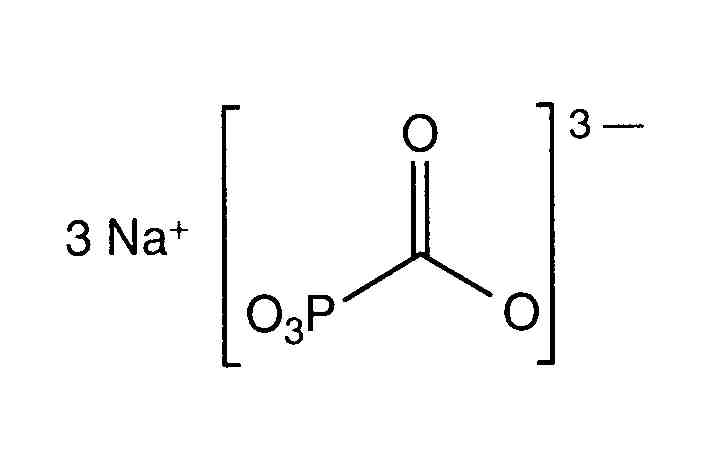
   Cấu trúc hóa học  

Tên thương mại   Tên thương mại     

Các tên thương mại được cung cấp và thành phần tá dược có thể khác nhau giữa các quốc gia và các hãng dược

Foscarnet Argentina, Bồ Đào Nha, Chile, Colombia, Ecuador, Hoa Kỳ, Mexico, Peru, Tây Ban Nha
Foscavir Anh, Áo, Bỉ, Hà Lan, Hoa Kỳ, Hungary, Hy Lạp, Luxembourg, new zealand, Pháp, Tây Ban Nha, Thụy Sỹ, Thụy Điển, Úc, Ý, Đức
Tính ổn định của các dung dịch   Dạng tiêm   Tính ổn định của các dung dịch : Foscarnet sodium     
Bao bì Dung môi Nồng độ Nhiệt độ Bảo quản Thời gian ổn định Mục lục
Nhựa polyvinyl chloride NaCl 0,9% 12 mg/ml 25°C Có hoặc không có tiếp xúc với ánh sáng
30 Ngày
2
Cấp độ bằng chứng C

Nhựa polyvinyl chloride NaCl 0,9% 12 mg/ml 25°C Không rõ
35 Ngày
75
Cấp độ bằng chứng C

Nhựa polyvinyl chloride NaCl 0,9% 12 mg/ml 5°C Tránh ánh sáng
30 Ngày
2
Cấp độ bằng chứng C

Nhựa polyvinyl chloride NaCl 0,9% 12 mg/ml 5°C Tránh ánh sáng
35 Ngày
75
Cấp độ bằng chứng C

Nhựa polyvinyl chloride Glucose 5% 12 mg/ml 25°C Không rõ
35 Ngày
75
Cấp độ bằng chứng C

Nhựa polyvinyl chloride Glucose 5% 12 mg/ml 5°C Tránh ánh sáng
35 Ngày
75
Cấp độ bằng chứng C

Chất đàn hồi polyisoprene NaCl 0,9% 2 & 20 mg/ml 25°C Không rõ
4 Ngày
604
Các dữ liệu về độ ổn định của nhà sản xuất

Chất đàn hồi polyisoprene NaCl 0,9% 2 & 20 mg/ml 4°C Tránh ánh sáng
14 Ngày
604
Các dữ liệu về độ ổn định của nhà sản xuất

Chất đàn hồi polyisoprene Glucose 5% 2 & 20 mg/ml 25°C Không rõ
4 Ngày
604
Các dữ liệu về độ ổn định của nhà sản xuất

Chất đàn hồi polyisoprene Glucose 5% 2 & 20 mg/ml 4°C Tránh ánh sáng
14 Ngày
604
Các dữ liệu về độ ổn định của nhà sản xuất


  Mentions Légales