Son güncelleme :
27/04/2026
Antiviral   Foscarnet sodium  
Enjeksiyon
Çözeltilerin stabilitesi Karışımlardaki stabilitesi Stabiliteyi etkileyen faktörler Uyumluluk Uygulama yöntemi Kaynaklar pdf
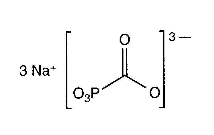
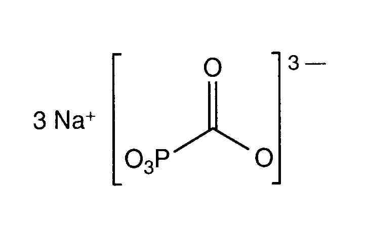
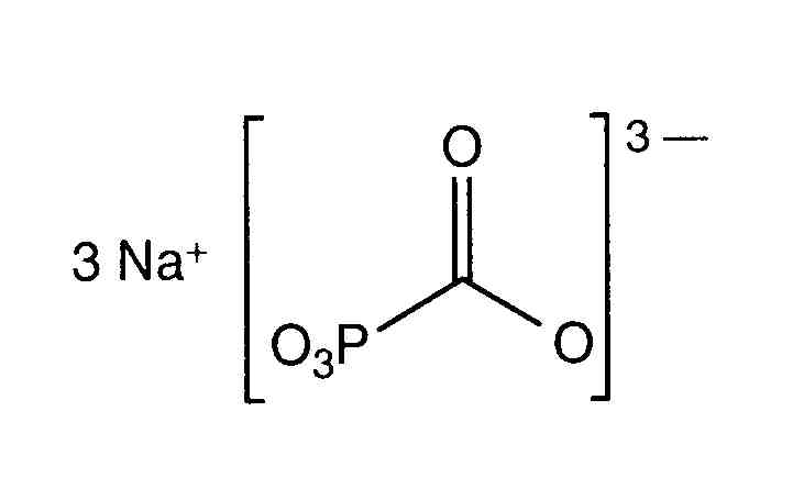
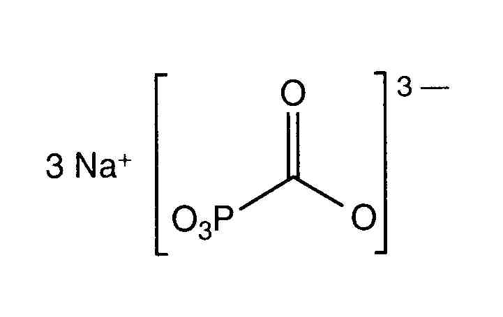
   Kimyasal yapı   

Ticari isim   Ticari isim     

Trade names are indicative and excipients composition can be different depending on the country and manufacturers

Foscarnet Amerika Birleşik Devletleri, Arjantin, Ekvador, İspanya, Kolombiya, Meksika, Peru, Portekiz, Şili
Foscavir Almanya, Amerika Birleşik Devletleri, Avustralya, Avusturya, Belçika, Büyük Britanya, Fransa, Hollanda, İspanya, İsveç, İsviçre, İtalya, Lüksemburg, Macaristan, yeni Zelanda, Yunanistan
Çözeltilerin stabilitesi   Enjeksiyon    Çözeltilerin stabilitesi : Foscarnet sodium     
Saklama kabı Çözücü Konsantrasyon Isı Saklama    Stabilite süresi Kaynaklar
Polivinil klorür Sodyum klorür % 0,9 12 mg/ml 25°C Işıklı veya ışıksız
30 Gün
2
Kanıt düzeyi C

Polivinil klorür Sodyum klorür % 0,9 12 mg/ml 25°C Belirtilmemiş
35 Gün
75
Kanıt düzeyi C

Polivinil klorür Sodyum klorür % 0,9 12 mg/ml 5°C Işıktan koruyunuz
30 Gün
2
Kanıt düzeyi C

Polivinil klorür Sodyum klorür % 0,9 12 mg/ml 5°C Işıktan koruyunuz
35 Gün
75
Kanıt düzeyi C

Polivinil klorür Glukoz %5 12 mg/ml 25°C Belirtilmemiş
35 Gün
75
Kanıt düzeyi C

Polivinil klorür Glukoz %5 12 mg/ml 5°C Işıktan koruyunuz
35 Gün
75
Kanıt düzeyi C

poliizopren elastomer Sodyum klorür % 0,9 2 & 20 mg/ml 25°C Belirtilmemiş
4 Gün
604
Üreticinin stabilite verileri

poliizopren elastomer Sodyum klorür % 0,9 2 & 20 mg/ml 4°C Işıktan koruyunuz
14 Gün
604
Üreticinin stabilite verileri

poliizopren elastomer Glukoz %5 2 & 20 mg/ml 25°C Belirtilmemiş
4 Gün
604
Üreticinin stabilite verileri

poliizopren elastomer Glukoz %5 2 & 20 mg/ml 4°C Işıktan koruyunuz
14 Gün
604
Üreticinin stabilite verileri


  Mentions Légales