viimane versioon :
27/04/2026
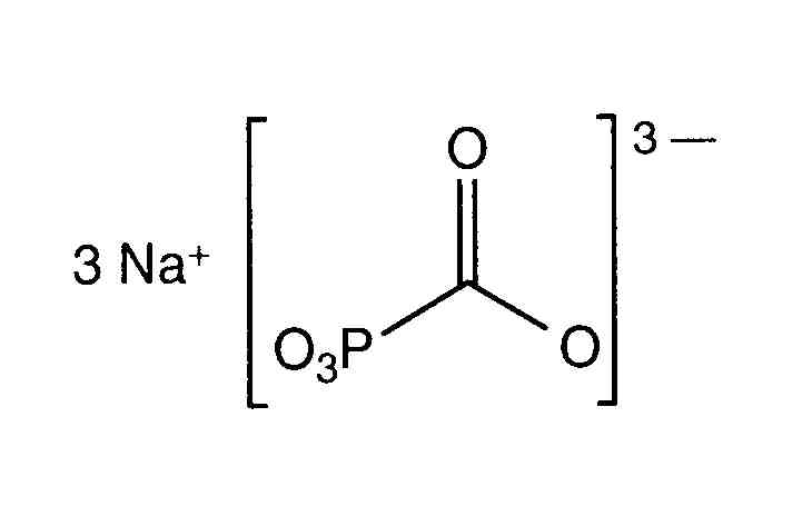
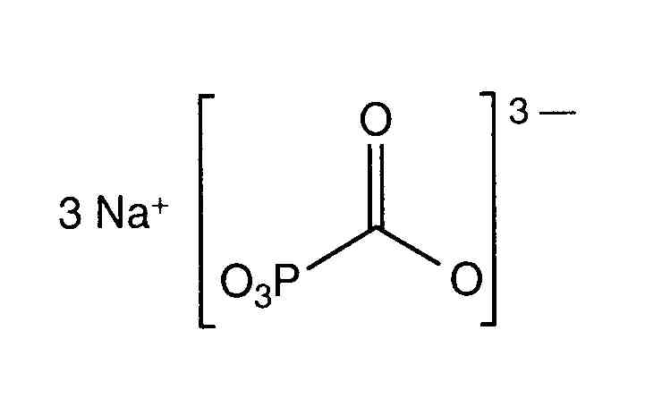
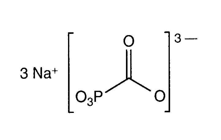
Viirusevastane ravim   Foscarnet sodium  
Süsteravim
Stabiilsus lahustes Stabiilsust mõjutavad tegurid stabiilsust mõjutavad faktorid Sobimatus Manustamis viis Viited pdf
   keemiline struktuur  

Kaubanduslikud nimed erinevates maades   Kaubanduslikud nimed erinevates maades     

Preparaatide nimed on näitlikud ja abianete sisaldus võib erineda sõltuvalt riigist ja laborist

Foscarnet Ameerika ühendriigid, Argentiina, Ecuador, Hispaania, Kolumbia, Maroko, Mehhiko, Portugal, Tšiili
Foscavir Ameerika ühendriigid, Austraalia, Austria, Belgia, Hispaania, Holland, Itaalia, Kreeka, Luksemburg, Prantsusmaa, Rootsi, Saksamaa, Suurbritannia, Sveits, Ungari, uus-Meremaa
Stabiilsus lahustes   Süsteravim   Stabiilsus lahustes : Foscarnet sodium     
konteiner lahusti kontsentratsioon temperatuur ladustamine Stabiilsuse kestus Viited
polüvinüülkloriid naatriumkloriid 0.9% 12 mg/ml 25°C valgusega või ilma valguseta
30 päev
2
Tõenduspõhisuse tase C

polüvinüülkloriid naatriumkloriid 0.9% 12 mg/ml 25°C pole täpsustatud
35 päev
75
Tõenduspõhisuse tase C

polüvinüülkloriid naatriumkloriid 0.9% 12 mg/ml 5°C kaitsta valguse eest
30 päev
2
Tõenduspõhisuse tase C

polüvinüülkloriid naatriumkloriid 0.9% 12 mg/ml 5°C kaitsta valguse eest
35 päev
75
Tõenduspõhisuse tase C

polüvinüülkloriid glükoos 5% 12 mg/ml 25°C pole täpsustatud
35 päev
75
Tõenduspõhisuse tase C

polüvinüülkloriid glükoos 5% 12 mg/ml 5°C kaitsta valguse eest
35 päev
75
Tõenduspõhisuse tase C

Polüisopreenist elastomeer naatriumkloriid 0.9% 2 & 20 mg/ml 25°C pole täpsustatud
4 päev
604
Tootja info stabiilsuse kohta

Polüisopreenist elastomeer naatriumkloriid 0.9% 2 & 20 mg/ml 4°C kaitsta valguse eest
14 päev
604
Tootja info stabiilsuse kohta

Polüisopreenist elastomeer glükoos 5% 2 & 20 mg/ml 25°C pole täpsustatud
4 päev
604
Tootja info stabiilsuse kohta

Polüisopreenist elastomeer glükoos 5% 2 & 20 mg/ml 4°C kaitsta valguse eest
14 päev
604
Tootja info stabiilsuse kohta


  Mentions Légales