Última actualización :
27/04/2026
Diurético   Spironolactone  
Preparaciones tópicas
Solución Oral
La estabilidad de las preparaciones farmacéuticas Estabilidad en mezcla Factores que influyen sobre la estabilidad Compatibilidades Bibliografía pdf
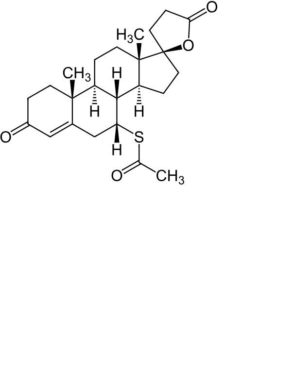
   Estructura química  

Preparaciones tópicas
Estabilidad en mezcla   Preparaciones tópicas   Estabilidad en mezcla : Spironolactone     
Ausencia de datos

  Mentions Légales