Utolsó frissítés :
27/04/2026
Vizelethajtó   Spironolactone  
kenőcs
belsőleges oldat
Stabilitása gyógyszerészeti készítmények A keverékek stabilitása Stabilitást befolyásoló tényezők Kompatibilitás Irodalom pdf
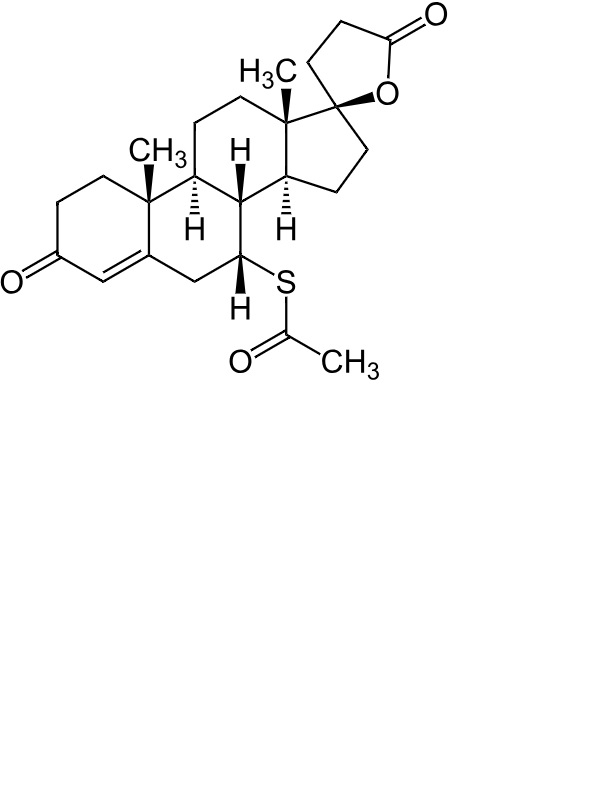
   Kémiai szerkezet   

kenőcs
A keverékek stabilitása   kenőcs   A keverékek stabilitása : Spironolactone     
Hiányzó adat

  Mentions Légales