最新更新 :
27/04/2026
利尿薬   Spironolactone  
軟膏薬
経口液
調剤時の安定性 混合時の安定性 安定性に影響する因子 互換性 引用文献 PDF
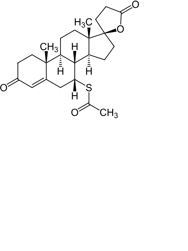
   化学構造  

軟膏薬
混合時の安定性   軟膏薬   混合時の安定性 : Spironolactone     
データなし

  Mentions Légales