Poslední aktualizace :
27/04/2026
Diuretikum   Spironolactone  
Masti
Perorální roztok
Stabilita farmaceutických přípravků Stabilita směsí Faktory ovlivňující stabilitu Kompatibilita Odkazy pdf
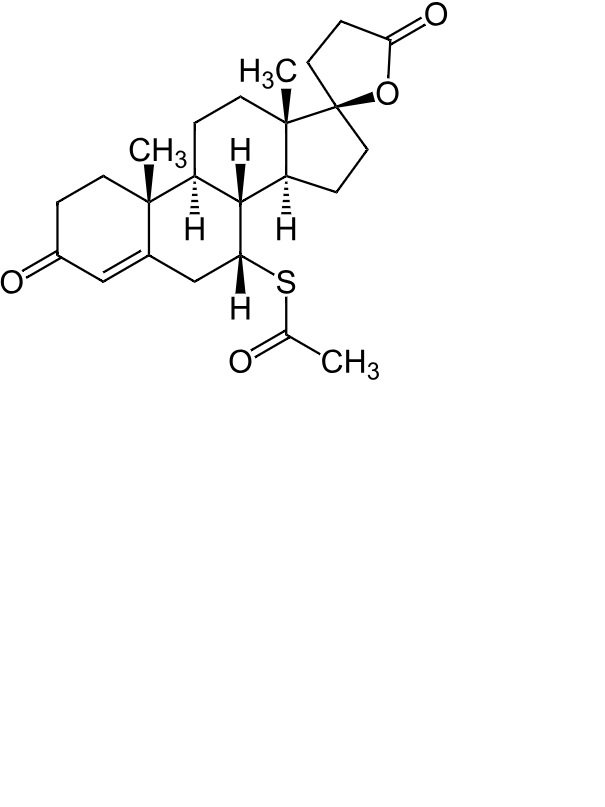
   Chemický vzorec  

Masti
Stabilita směsí   Masti   Stabilita směsí : Spironolactone     
žádná data

  Mentions Légales