Последнее обновление :
27/04/2026
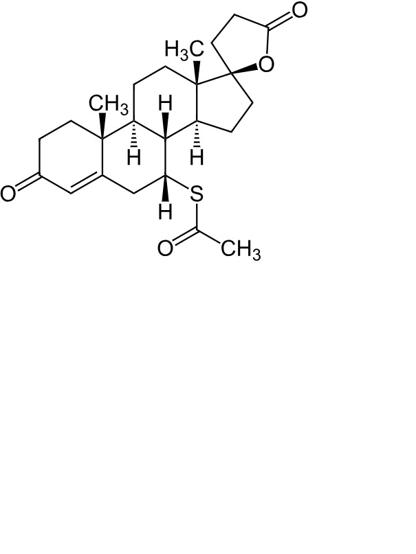
Диуретик   Spironolactone  
Мази
Раствор для перорального приёма
Стабильность фармацевтических препаратов Стабильность смесей Факторы, которые влияют на стабильность Совместимость Библиография pdf
   Химическая структура  

Мази
Стабильность смесей   Мази   Стабильность смесей : Spironolactone     
данных нет

  Mentions Légales