Laatste update :
18/03/2026
Diureticum   Spironolactone  
zalf
Orale Oplossing
Stabiliteit van farmaceutische preparaten Stabiliteit in mengsels Factoren die de stabiliteit beïnvloeden Verenigbaarheden Literatuur pdf
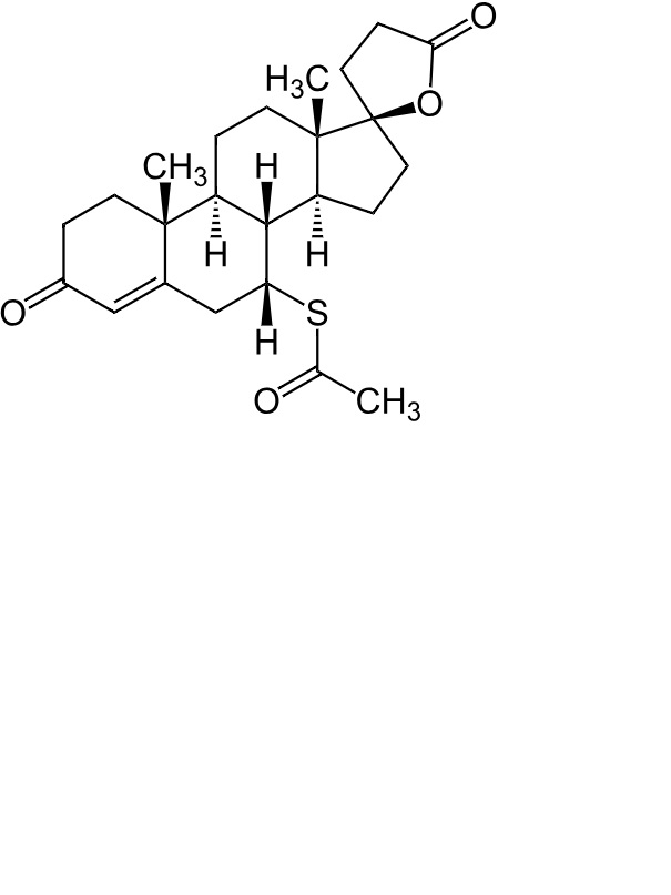
   Molecuulstructuur  

zalf

Factoren die de stabiliteit beïnvloeden   zalf   Factoren die de stabiliteit beïnvloeden : Spironolactone        
geen gegevens

  Mentions Légales