Poslední aktualizace :
27/04/2026
Diuretikum   Spironolactone  
Masti
Perorální roztok
Stabilita farmaceutických přípravků Stabilita směsí Faktory ovlivňující stabilitu Kompatibilita Odkazy pdf
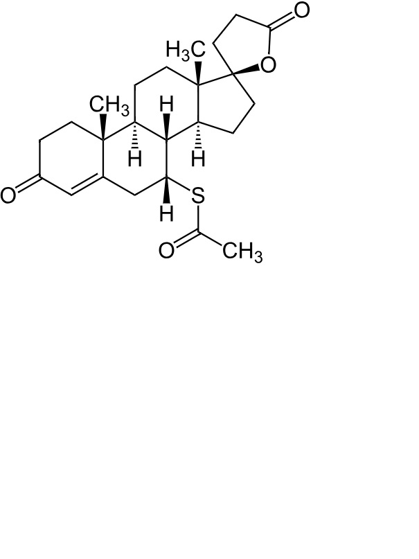
   Chemický vzorec  

Masti

Faktory ovlivňující stabilitu   Masti   Faktory ovlivňující stabilitu : Spironolactone        
žádná data

  Mentions Légales