viimane versioon :
27/04/2026
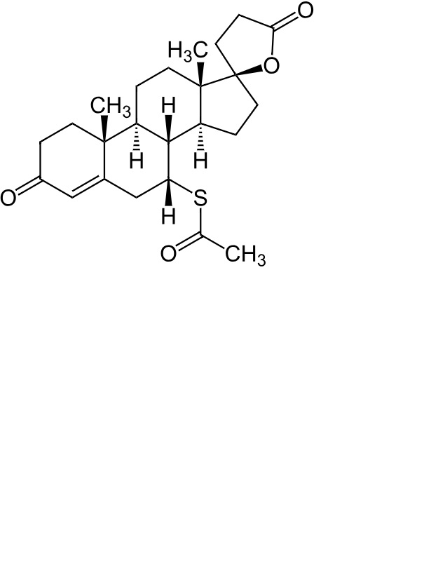
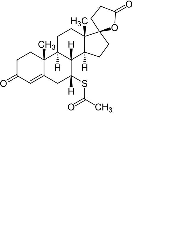
diureetikum   Spironolactone  
salv
suukaudne lahus
Stabiilsust ravimpreparaadid Stabiilsust mõjutavad tegurid stabiilsust mõjutavad faktorid Sobimatus Viited pdf
   keemiline struktuur  

salv

stabiilsust mõjutavad faktorid   salv   stabiilsust mõjutavad faktorid : Spironolactone        
andmed puuduvad

  Mentions Légales