Zadnji put ažurirano :
27/04/2026
diuretici   Spironolactone  
masti
oralna otopina
Stabilnost farmaceutskih pripravaka Stabilnost mješavine Stabilizacijski faktor Kompatibilnosti Bibliografija pdf
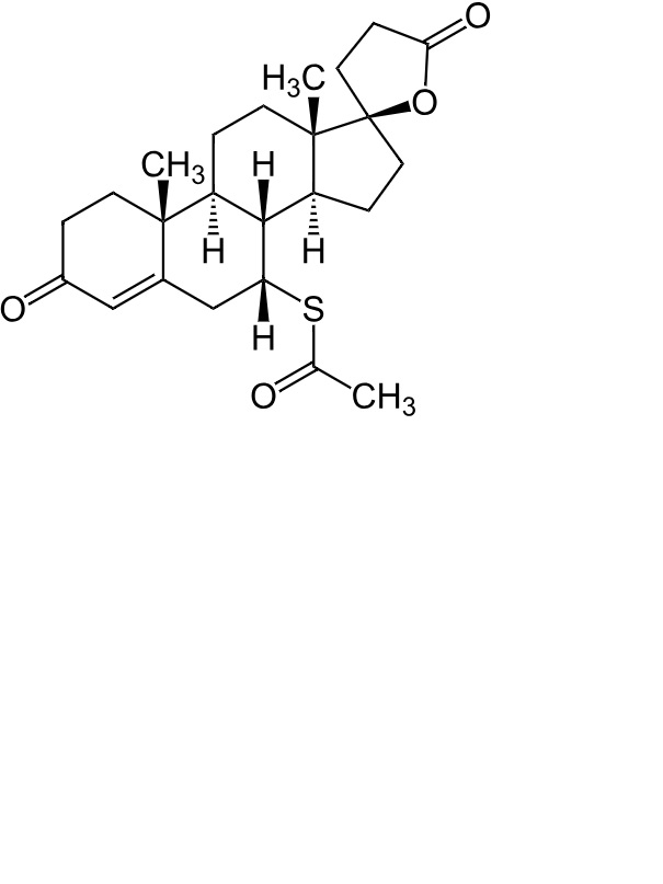
   Kemijska struktura  

masti

Stabilizacijski faktor   masti   Stabilizacijski faktor : Spironolactone        
bez podataka

  Mentions Légales