Ultimo aggiornamento :
27/04/2026
Diuretico   Spironolactone  
Unguenti
Soluzione orale
Stabilità dei preparati farmaceutici Stabilità in miscela Fattori che influenzano la stabilità Compatibilità Bibliografia pdf
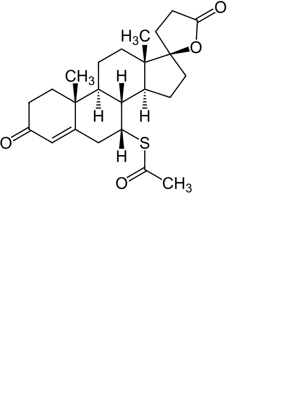
   Struttura chimica  

Unguenti

Fattori che influenzano la stabilità   Unguenti   Fattori che influenzano la stabilità : Spironolactone        
Assenza di dati

  Mentions Légales