Последнее обновление :
27/04/2026
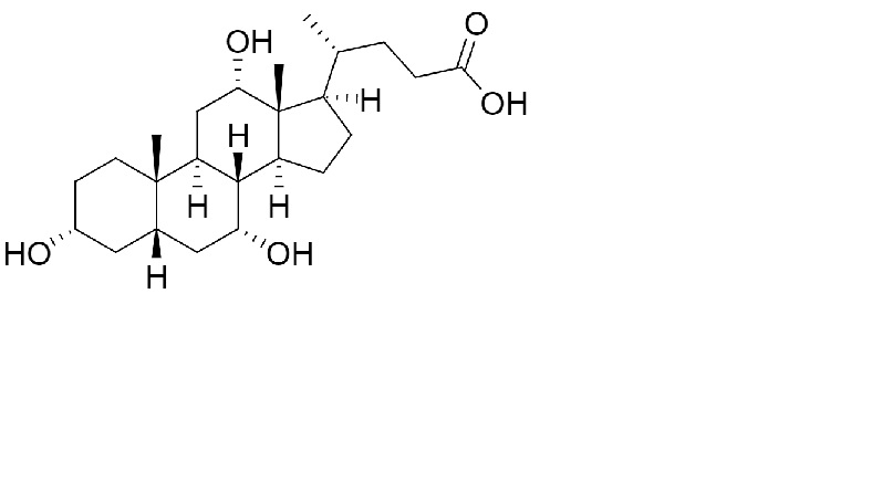
Разное   Cholic acid  
Капсула
Стабильность фармацевтических препаратов Стабильность смесей Факторы, которые влияют на стабильность Совместимость Библиография pdf
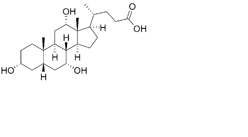
   Химическая структура  

Капсула
Стабильность фармацевтических препаратов   Капсула   Стабильность фармацевтических препаратов : Cholic acid     
Упаковка Origine Наполнитель Температура Хранение Продолжительность стабильности Ссылки
Пластиковая бутылка Порошок 25 mg
® = ?
коллоидный кремнезем >>
Лактозп >>
23-27°C Защищён от света
365 День
4751

Пластиковая бутылка Порошок 250 mg
® = ?
коллоидный кремнезем >>
23-27°C Защищён от света
365 День
4751

Пластиковая бутылка Порошок 25 mg
® = ?
коллоидный кремнезем >>
Лактозп >>
38-42°C Защищён от света
365 День
4751

Пластиковая бутылка Порошок 250 mg
® = ?
коллоидный кремнезем >>
38-42°C Защищён от света
365 День
4751


  Mentions Légales