Seneste opdatering :
27/01/2026
Diverse   Cholic acid  
Kapsel
Stabilitet af farmaceutiske tilberedninger Stabilitet i blandinger Faktorer der påvirker stabiliteten Kompatibilitet Bibliografi pdf
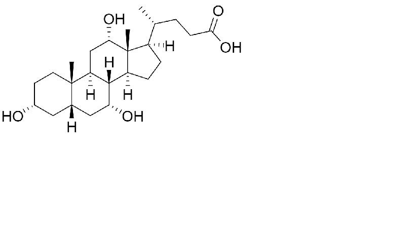
   Kemisk struktur  

Kapsel
Stabilitet af farmaceutiske tilberedninger   Kapsel   Stabilitet af farmaceutiske tilberedninger : Cholic acid     
Beholder Origine Hjælpestof Temperatur Konservering Varighed af stabilitet Bibliografi
Plastflaske Pulver 25 mg
® = ?
kolloid silica >>
Laktose >>
23-27°C Beskyt mod lys
365 Dag
4751

Plastflaske Pulver 250 mg
® = ?
kolloid silica >>
23-27°C Beskyt mod lys
365 Dag
4751

Plastflaske Pulver 25 mg
® = ?
kolloid silica >>
Laktose >>
38-42°C Beskyt mod lys
365 Dag
4751

Plastflaske Pulver 250 mg
® = ?
kolloid silica >>
38-42°C Beskyt mod lys
365 Dag
4751


  Mentions Légales