آخر تحديث :
05/12/2025
مختلف   Cholic acid  
كبسولة
استقرار المستحضرات الصيدلانية استقرار مخاليط العوامل التي تؤثر على الاستقرار التوافق مراجع pdf
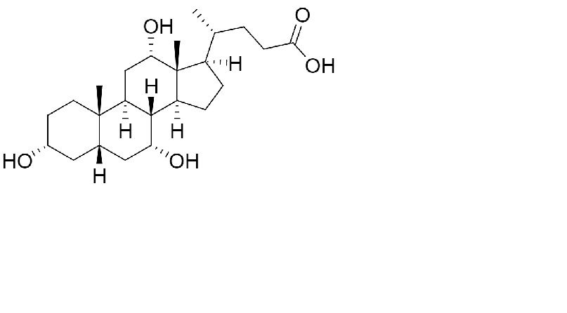
   التركيب الكيميائي  

كبسولة
استقرار المستحضرات الصيدلانية   كبسولة   استقرار المستحضرات الصيدلانية : Cholic acid     
حاوية Origine الاضافات درجة الحرارة تخزين مدة الاستقرار مراجع
زجاجة من البلاستيك مسحوق 25 mg
® = ?
السيليكا الغروية >>
اللاكتوز >>
23-27°C بعيدا عن الضوء
365 يوم
4751

زجاجة من البلاستيك مسحوق 250 mg
® = ?
السيليكا الغروية >>
23-27°C بعيدا عن الضوء
365 يوم
4751

زجاجة من البلاستيك مسحوق 25 mg
® = ?
السيليكا الغروية >>
اللاكتوز >>
38-42°C بعيدا عن الضوء
365 يوم
4751

زجاجة من البلاستيك مسحوق 250 mg
® = ?
السيليكا الغروية >>
38-42°C بعيدا عن الضوء
365 يوم
4751


  Mentions Légales