最新更新 :
27/01/2026
様々なもの   Cholic acid  
カプセル
調剤時の安定性 混合時の安定性 安定性に影響する因子 互換性 引用文献 PDF
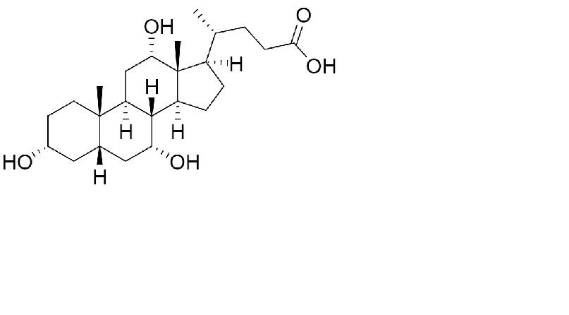
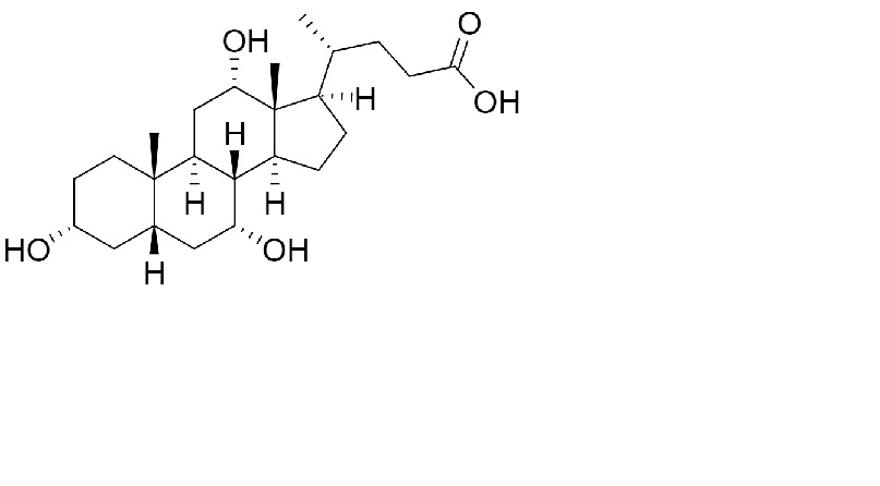
   化学構造  

カプセル
調剤時の安定性   カプセル   調剤時の安定性 : Cholic acid     
容器 Origine 添加剤 温度 保管 安定期間 引用文献
プラスチックボトル 粉 25 mg
® = ?
コロイダルシリカ >>
乳糖 >>
23-27°C 遮光
365 日
4751

プラスチックボトル 粉 250 mg
® = ?
コロイダルシリカ >>
23-27°C 遮光
365 日
4751

プラスチックボトル 粉 25 mg
® = ?
コロイダルシリカ >>
乳糖 >>
38-42°C 遮光
365 日
4751

プラスチックボトル 粉 250 mg
® = ?
コロイダルシリカ >>
38-42°C 遮光
365 日
4751


  Mentions Légales