Τελευταία ενημέρωση :
05/12/2025
Infostab
Καταστάσεις
Περίληψη καταλόγων
Αναζήτηση συμβατοτήτων
Πίνακας Συμβατότητας Υ κέντρου
Βιβλιογραφία
Ερευνητικές ομάδες
valistab
αφίσα
συνδέσεις
χορηγούς
Συγγραφείς
Οδηγίες χρήσης
Ενημερωτικό δελτίο
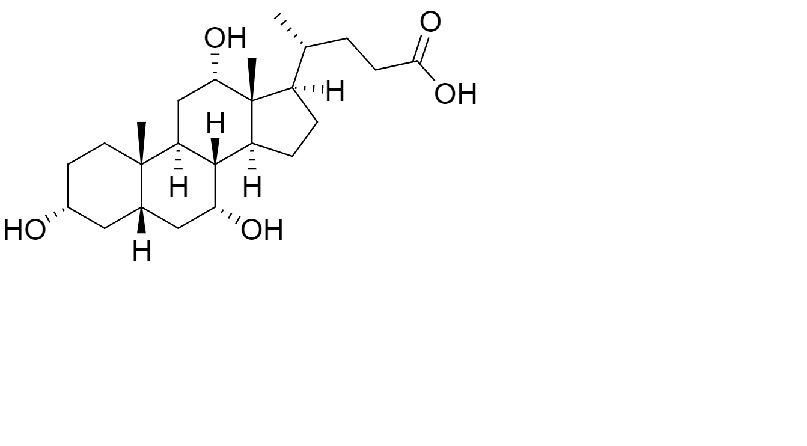
Cholic acid
χημική δομή
Σταθερότητα και συμβατότητα των φαρμάκων : Cholic acid
25 mg
® = ?
κολλοειδές πυρίτιο
>>
Λακτόζη
>>
23-27°C
365
4751
250 mg
® = ?
κολλοειδές πυρίτιο
>>
23-27°C
365
4751
25 mg
® = ?
κολλοειδές πυρίτιο
>>
Λακτόζη
>>
38-42°C
365
4751
250 mg
® = ?
κολλοειδές πυρίτιο
>>
38-42°C
365
4751
Mentions Légales