viimane versioon :
18/03/2026
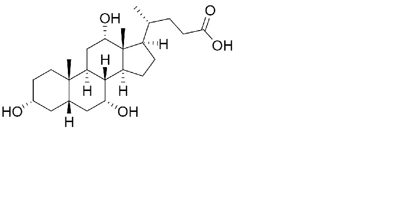
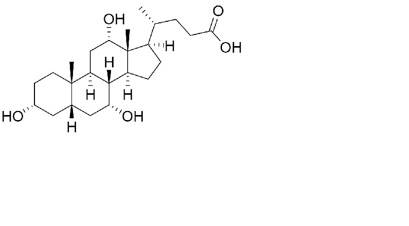
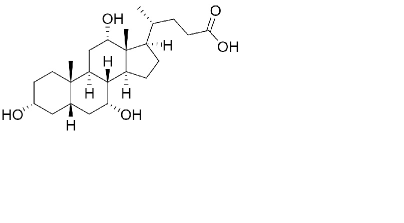
mitmesugune   Cholic acid  
kapsel
Stabiilsust ravimpreparaadid Stabiilsust mõjutavad tegurid stabiilsust mõjutavad faktorid Sobimatus Viited pdf
   keemiline struktuur  

kapsel
Stabiilsust ravimpreparaadid   kapsel   Stabiilsust ravimpreparaadid : Cholic acid     
konteiner Origine  abiaine temperatuur ladustamine Stabiilsuse kestus Viited
Plastikpudel pulber 25 mg
® = ?
kolloidne ränidioksiid >>
laktoos >>
23-27°C kaitsta valguse eest
365 päev
4751

Plastikpudel pulber 250 mg
® = ?
kolloidne ränidioksiid >>
23-27°C kaitsta valguse eest
365 päev
4751

Plastikpudel pulber 25 mg
® = ?
kolloidne ränidioksiid >>
laktoos >>
38-42°C kaitsta valguse eest
365 päev
4751

Plastikpudel pulber 250 mg
® = ?
kolloidne ränidioksiid >>
38-42°C kaitsta valguse eest
365 päev
4751


  Mentions Légales