Última actualização :
27/04/2026
Curarizante   Atracurium besylate  
injetável
Estabilidade em soluções simples Estabilidade em misturas Factores que afectam a sua estabilidade Compatibilidade Método de administração Bibliografía pdf
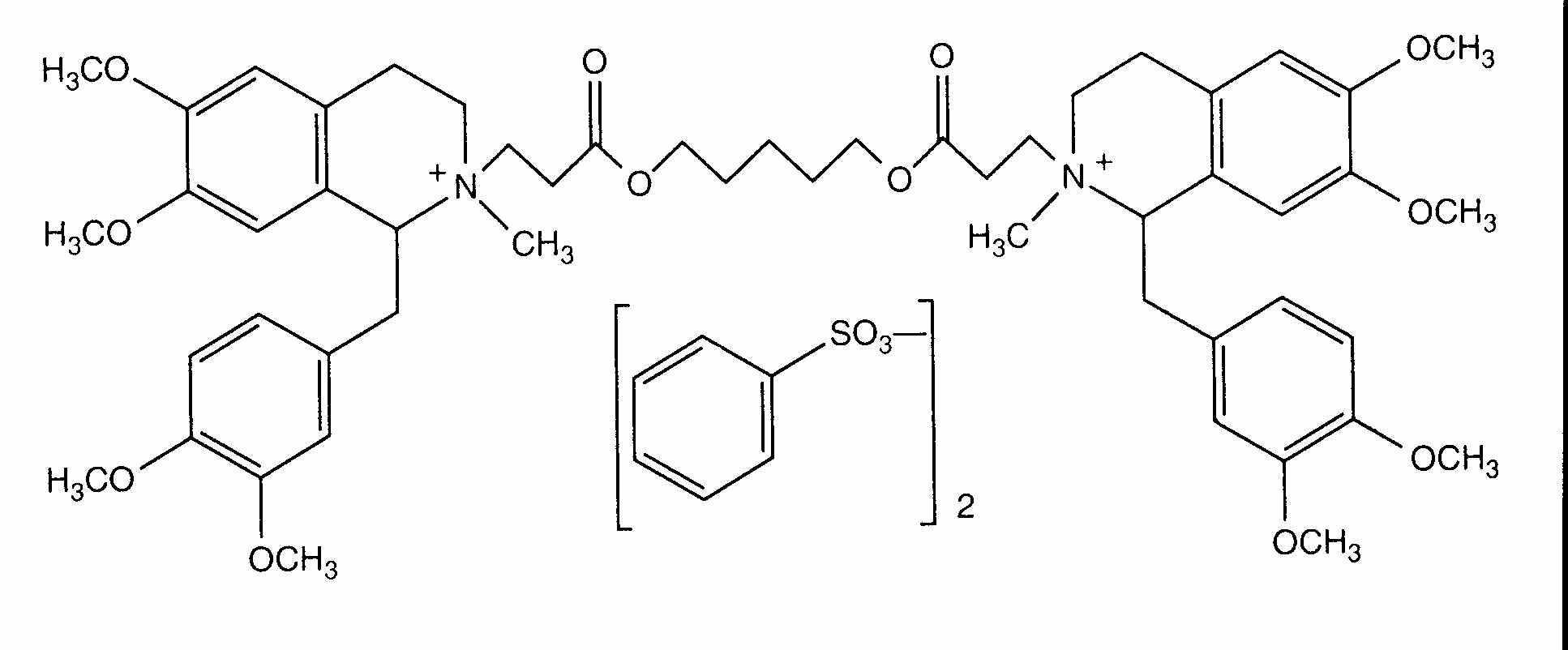
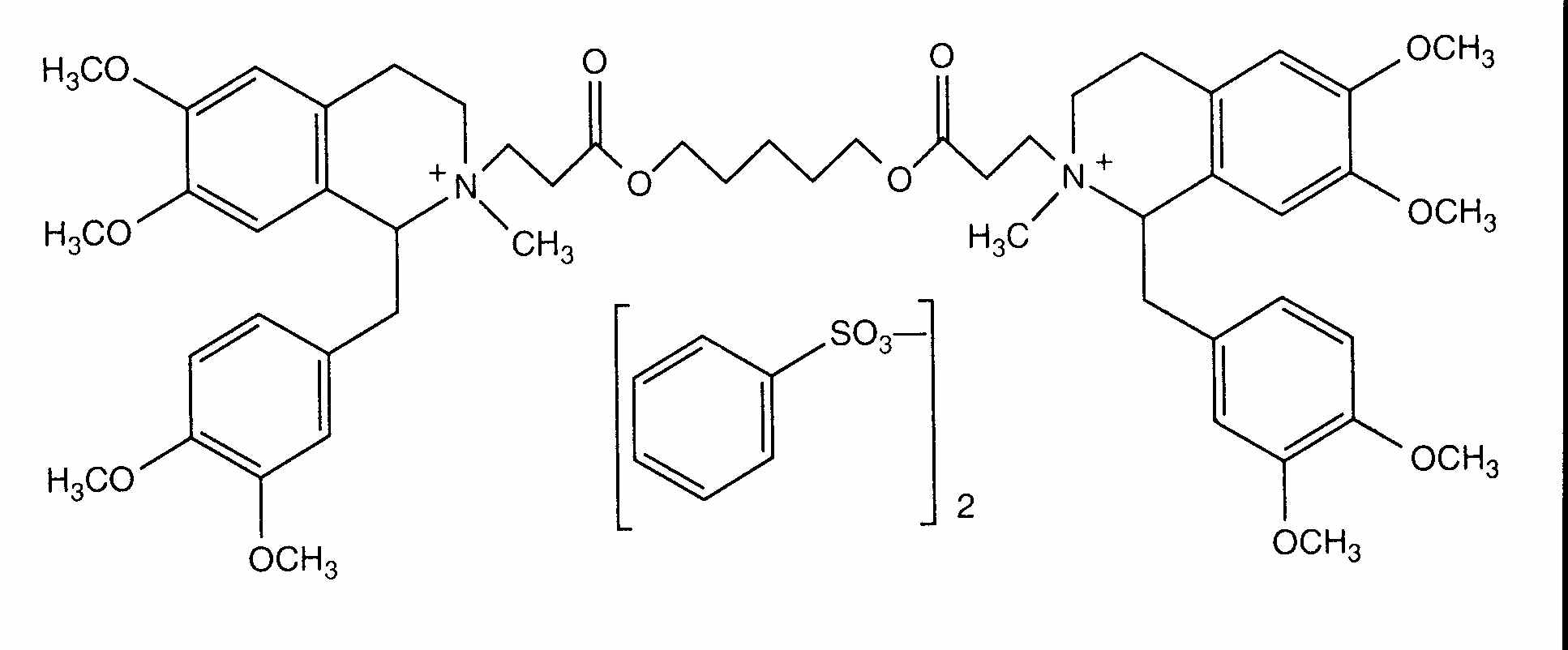
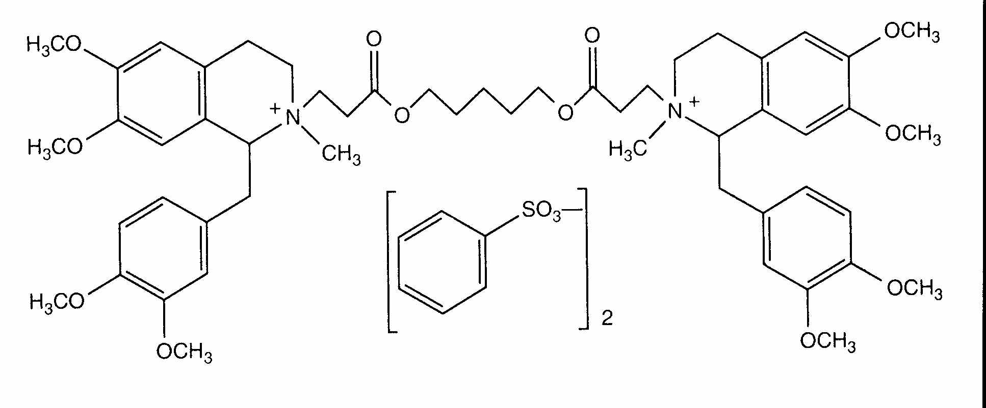
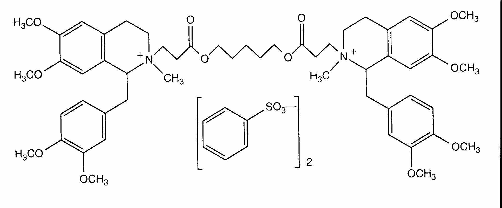
   estrutura química  

Nomes comerciais nos diversos países   Nomes comerciais nos diversos países     

OS NOMES COMERCIAIS SÃO INDICATIVOS E OS EXCIPIENTES DA FORMULAÇÃO PODEM SER DIFERENTES CONFORME O PAÍS E FABRICANTE.

Abbocurium Polonia
Acurmil Itália
Ancour Irã
Anecur Irã
Atacur Arábia Saudita
Atrabesylate Egipto
Atracurio Argentina, Brasil, Espanha
Atracurio besilato Chilli, Itália, Peru, Venezuela
Atracurium Alemanha, Arábia Saudita, Argentina, Austria, Egipto, Emirados Árabes Unidos, Gran-bretanha, Irã, Itália, Malásia, Suècia
Atracurium besilat Austria
Atracurium besilate Arábia Saudita, Australia, Canadá, Egipto, Emirados Árabes Unidos, Estados Unidos de América, Irã, nova Zelândia
Atralex Malásia
Atrasyl Turquia
Besilato Atracurio Chilli, Espanha, Portugal
Faulcurium Egipto, Portugal
Gelolagar Argentina
Laurak Espanha
Neucurium Turquia
Notrixum Turquia
Relactrac Colômbia
Relatrac México
Tracrium Alemanha, Arábia Saudita, Austria, Bélgica, Chilli, Colômbia, Egipto, Emirados Árabes Unidos, Equator, Eslovenia, Espanha, Estados Unidos de América, França, Gran-bretanha, Grècia, Hungria, Irã, Irlanda, Itália, Luxemburgo, Malásia, Marrocos, México, nova Zelândia, Países Baixos, Polonia, Portugal, Romènia, Suicia, Turquia
Tracumek Peru
Tracurix Argentina
Tracuron Argentina
Estabilidade em soluções simples   injetável   Estabilidade em soluções simples : Atracurium besylate     
Embalagem Solvente concentração temperatura conservação Duração da estabilidade Bibliografia
seringa polipropylen cloreto de sódio 0,9% 0,5 >> 5 mg/ml < 30°C ao abrigo da luz
24 hora
3676
Dados estabilidade do fabricante

seringa polipropylen Glucose 5% 0,5 >> 5 mg/ml < 30°C ao abrigo da luz
24 hora
3676
Dados estabilidade do fabricante

seringa polipropylen nenhum 10 mg/ml 25°C no especificado
42 dia
657
Nível de evidência D

seringa polipropylen nenhum 10 mg/ml 40°C no especificado
7 dia
657
Nível de evidência D

seringa polipropylen nenhum 10 mg/ml 5°C ao abrigo da luz
42 dia
657
Nível de evidência D


  Mentions Légales