最新更新 :
27/04/2026
クラーレ様薬   Atracurium besylate  
注射薬
溶媒内の安定性 混合時の安定性 安定性に影響する因子 互換性 投与経路 引用文献 PDF
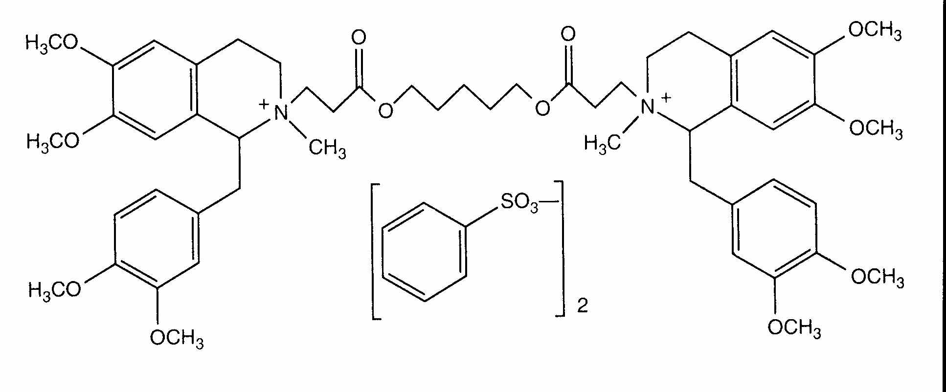
   化学構造  

商品名   商品名     

商品名、賦形剤は国、製薬会社ごとに異なることがあります

Abbocurium ポーランド
Acurmil イタリア
Ancour イラン
Anecur イラン
Atacur サウジアラビア
Atrabesylate エジプト
Atracurio アルゼンチン, スペイン, ブラジル
Atracurio besilato イタリア, チリ, ベネズエラ, ペルー
Atracurium アラブ首長国連邦, アルゼンチン, イギリス, イタリア, イラン, エジプト, オーストリア, サウジアラビア, スウェーデン, ドイツ, マレーシア
Atracurium besilat オーストリア
Atracurium besilate アメリカ, アラブ首長国連邦, アーストラリア, イラン, エジプト, カナダ, サウジアラビア, ニュージーランド
Atralex マレーシア
Atrasyl トルコ
Besilato Atracurio スペイン, チリ, ポルトガル
Faulcurium エジプト, ポルトガル
Gelolagar アルゼンチン
Laurak スペイン
Neucurium トルコ
Notrixum トルコ
Relactrac コロンビア
Relatrac メキシコ
Tracrium アイルランド, アメリカ, アラブ首長国連邦, イギリス, イタリア, イラン, エクアドル, エジプト, オランダ, オーストリア, ギリシア, コロンビア, サウジアラビア, スイス, スペイン, スロベニア, チリ, トルコ, ドイツ, ニュージーランド, ハンガリー, フランス, ベルギー, ポルトガル, ポーランド, マレーシア, メキシコ, モロッコ, ルクセンブルグ, ルーマニア
Tracumek ペルー
Tracurix アルゼンチン
Tracuron アルゼンチン
溶媒内の安定性   注射薬   溶媒内の安定性 : Atracurium besylate     
容器 溶媒 濃度 温度 保管 安定期間 引用文献
シリンジ ポリプロピレン NaCl 0,9% 0,5 >> 5 mg/ml < 30°C 遮光
24 時間
3676
製薬会社の安定性データ

シリンジ ポリプロピレン グルコース5% 0,5 >> 5 mg/ml < 30°C 遮光
24 時間
3676
製薬会社の安定性データ

シリンジ ポリプロピレン なし 10 mg/ml 25°C 特記なし
42 日
657
エビデンスレベル D

シリンジ ポリプロピレン なし 10 mg/ml 40°C 特記なし
7 日
657
エビデンスレベル D

シリンジ ポリプロピレン なし 10 mg/ml 5°C 遮光
42 日
657
エビデンスレベル D


  Mentions Légales