Последно актуализиране :
27/04/2026
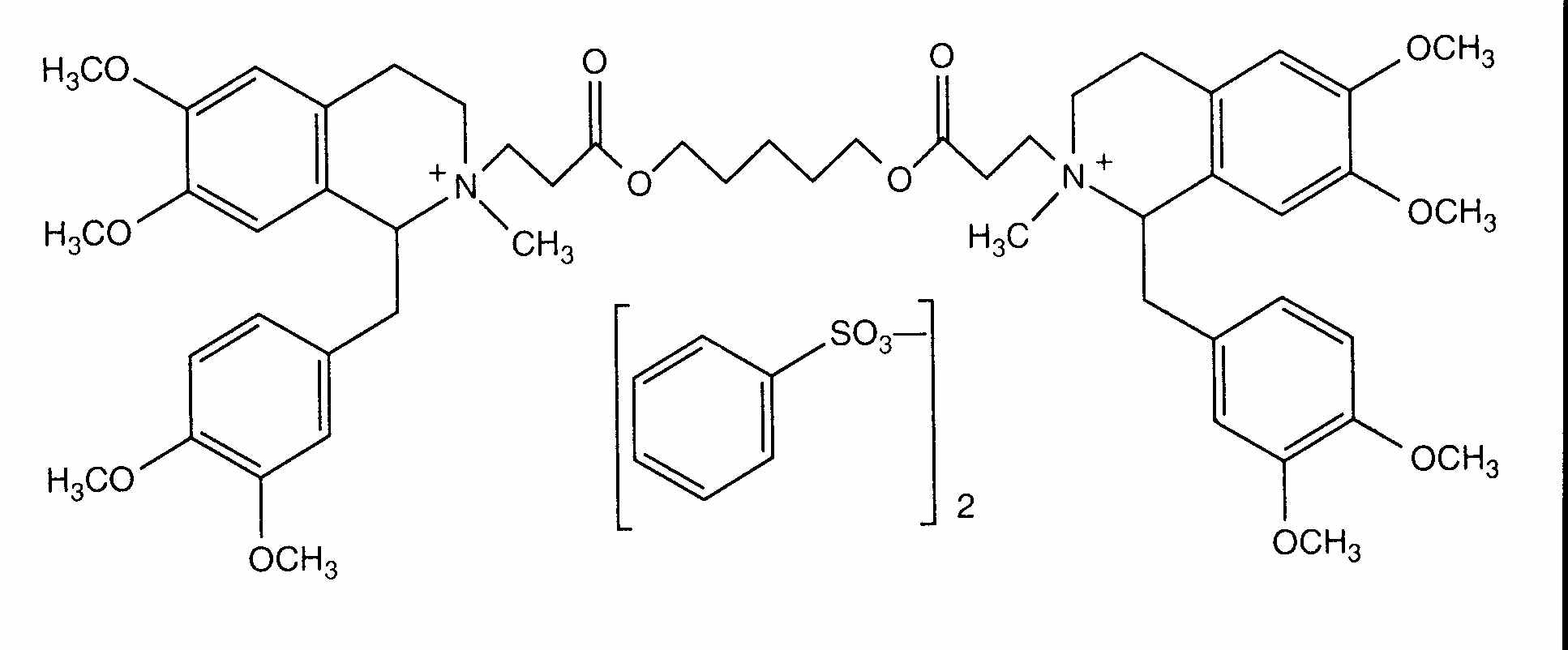
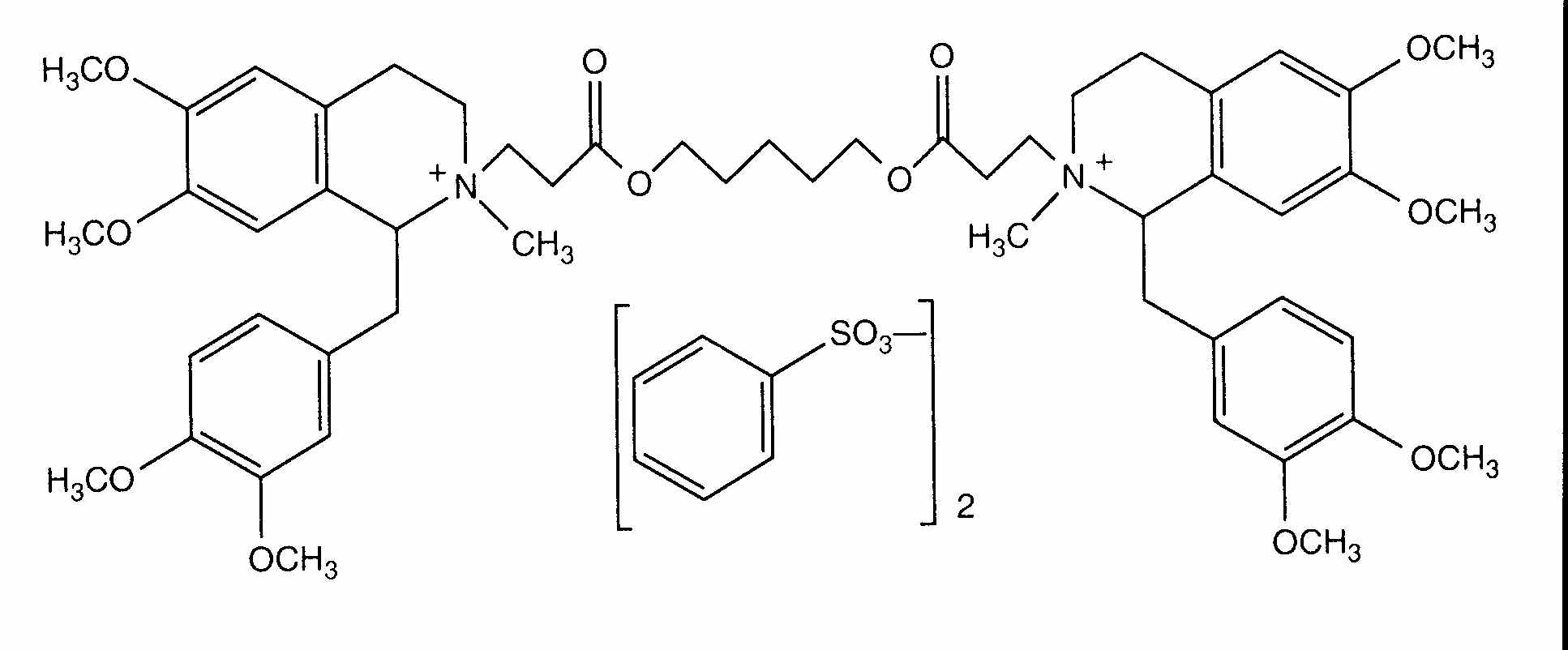
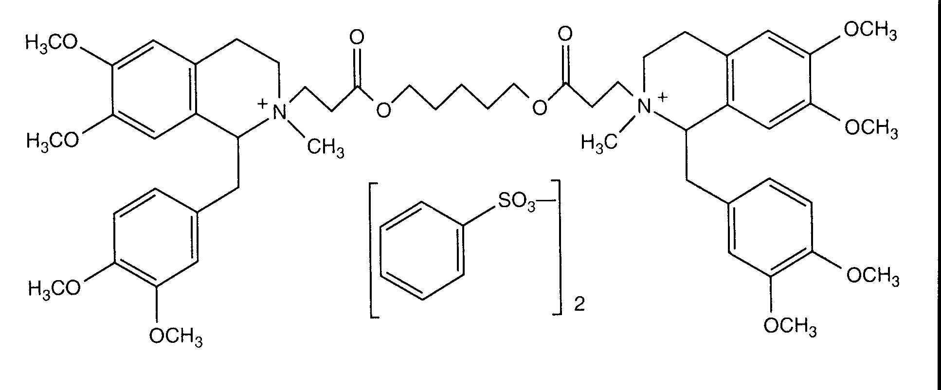
Кураре-миметик   Atracurium besylate  
Инжекция/Инжекционен
Стабилност на разтвори Стабилност на смеси Фактори, повлияващи стабилността Съвместимост Път на въвеждане Библиография Pdf
   Химична структура  

Търговско наименование   Търговско наименование     

Търговските имена са примерни и съставът на помощните вещества може да бъде различен в зависимост от държавата и лабораториите

Abbocurium Полша
Acurmil Италия
Ancour Иран
Anecur Иран
Atacur Саудитска Арабия
Atrabesylate Египет
Atracurio Аржентина, Бразилия, Испания
Atracurio besilato Венецуела, Италия, Перу, Чили
Atracurium Австрия, Аржентина, Великобритания, Германия, Египет, Иран, Италия, Малайзия, Обединени арабски емирства, Саудитска Арабия, Швеция
Atracurium besilat Австрия
Atracurium besilate Австралия, Египет, Иран, Канада, нова Зеландия, Обединени арабски емирства, Саудитска Арабия, Съединени Американски щати / САЩ
Atralex Малайзия
Atrasyl Турция
Besilato Atracurio Испания, Португалия, Чили
Faulcurium Египет, Португалия
Gelolagar Аржентина
Laurak Испания
Neucurium Турция
Notrixum Турция
Relactrac Колумбия
Relatrac Мексико
Tracrium Австрия, Белгия, Великобритания, Германия, Гърция, Египет, Еквадор, Иран, Ирландия, Испания, Италия, Колумбия, Люксенбург, Малайзия, Мароко, Мексико, нова Зеландия, Обединени арабски емирства, Полша, Португалия, Румъния, Саудитска Арабия, Словения, Съединени Американски щати / САЩ, Турция, Унгария, Франция, Холандия, Чили, Швейцария
Tracumek Перу
Tracurix Аржентина
Tracuron Аржентина
Стабилност на разтвори   Инжекция/Инжекционен   Стабилност на разтвори : Atracurium besylate     
Контейнер Разтворител Концентрация Температура Съхранение Продължителност на стабилността Библиография
шприц полипропилен Sodium chloride 0,9% 0,5 >> 5 mg/ml < 30°C Защита от светлина
24 Час
3676
Данни за стабилност на производителя

шприц полипропилен Glucose 5% 0,5 >> 5 mg/ml < 30°C Защита от светлина
24 Час
3676
Данни за стабилност на производителя

шприц полипропилен Няма 10 mg/ml 25°C Не е уточнено
42 Ден
657
Степен на доказаност D

шприц полипропилен Няма 10 mg/ml 40°C Не е уточнено
7 Ден
657
Степен на доказаност D

шприц полипропилен Няма 10 mg/ml 5°C Защита от светлина
42 Ден
657
Степен на доказаност D


  Mentions Légales