Ostatnia aktualizacja :
27/04/2026
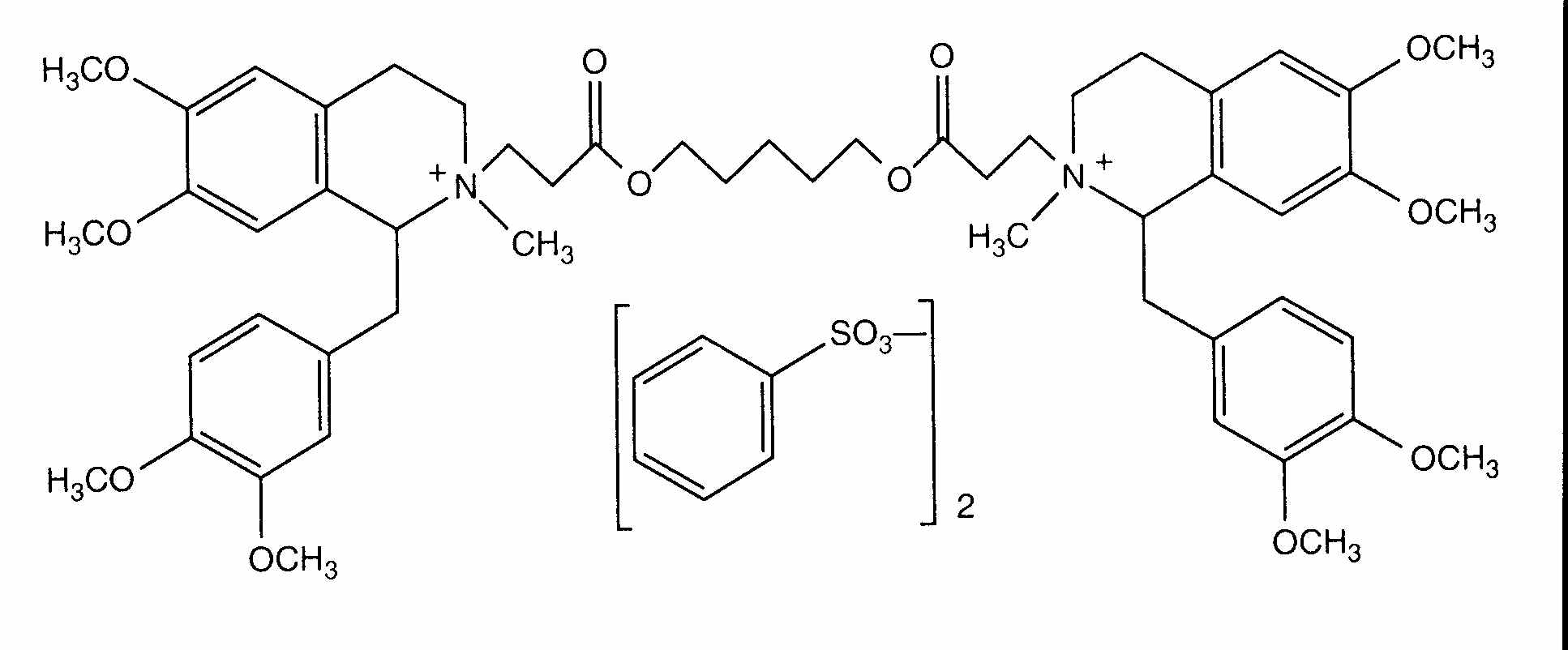
Lek kuraropodobny   Atracurium besylate  
Injekcje
Trwałość roztworów Trwałość w mieszaninie Czynnik wpływający na trwałość Zgodność Sposób podania Bibliografia pdf
   Struktura chemiczna  

Nazwa handlowa   Nazwa handlowa     

Trade names are indicative and excipients composition can be different depending on the country and manufacturers

Abbocurium Polska
Acurmil Włochy
Ancour Iran
Anecur Iran
Atacur Arabia Saudyjska
Atrabesylate Egipt
Atracurio Argentyna, Brazylia, Hiszpania
Atracurio besilato Chile, Peru, Wenezuela, Włochy
Atracurium Arabia Saudyjska, Argentyna, Austria, Egipt, Iran, Malezja, Niemcy, Szwecja, Wielka Brytania, Włochy, Zjednoczone Emiraty Arabskie
Atracurium besilat Austria
Atracurium besilate Arabia Saudyjska, Australia, Egipt, Iran, Kanada, nowa Zelandia, Stany Zjednoczone Ameryki, Zjednoczone Emiraty Arabskie
Atralex Malezja
Atrasyl Turcja
Besilato Atracurio Chile, Hiszpania, Portugalia
Faulcurium Egipt, Portugalia
Gelolagar Argentyna
Laurak Hiszpania
Neucurium Turcja
Notrixum Turcja
Relactrac KolumbiaKolumbia
Relatrac Meksyk
Tracrium Arabia Saudyjska, Austria, Belgia, Chile, Egipt, Ekwador, Francja , Grecja, Hiszpania, Holandia, Iran, Irlandia, KolumbiaKolumbia, Luksemburg, Malezja, Maroko, Meksyk, Niemcy, nowa Zelandia, Polska, Portugalia, Rumunia, Stany Zjednoczone Ameryki, Szwajcaria, Słowenia, Turcja, Węgry, Wielka Brytania, Włochy, Zjednoczone Emiraty Arabskie
Tracumek Peru
Tracurix Argentyna
Tracuron Argentyna
Trwałość roztworów   Injekcje   Trwałość roztworów : Atracurium besylate     
Pojemnik Rozpuszczalnik Stężenie Temperatura Przechowywanie Czas trwania stabilności Bibliografia
Strzykawka Chlorek sodu 0,9% 0,5 >> 5 mg/ml < 30°C Chronić od światła
24 Godzina
3676
Dane stabilności producenta

Strzykawka Glukoza 5% 0,5 >> 5 mg/ml < 30°C Chronić od światła
24 Godzina
3676
Dane stabilności producenta

Strzykawka Żaden 10 mg/ml 25°C Nie wyszczególniony
42 Dzień
657
Poziom wiarygodności D

Strzykawka Żaden 10 mg/ml 40°C Nie wyszczególniony
7 Dzień
657
Poziom wiarygodności D

Strzykawka Żaden 10 mg/ml 5°C Chronić od światła
42 Dzień
657
Poziom wiarygodności D


  Mentions Légales