Poslední aktualizace :
27/04/2026
Kurarimimetikas   Atracurium besylate  
Įpurškimas
Tirpalų stabilumas Mišinių stabilumas Stabilumą lemiantys veiksniai Suderinamumas Leidimo būdai Bibliografija pdf
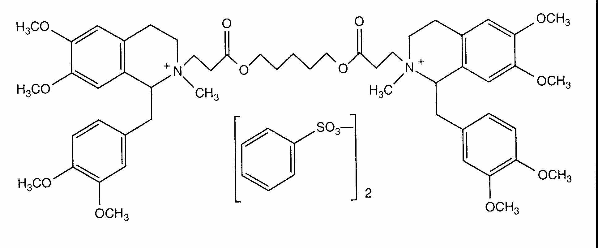
   Cheminė sandara  

Prekinis pavadinimas   Prekinis pavadinimas     

Trade names are indicative and excipients composition can be different depending on the country and manufacturers

Abbocurium Lenkija
Acurmil Italija
Ancour Iranas
Anecur Iranas
Atacur Saudo Arabija
Atrabesylate Egiptas
Atracurio Argentina, Brazilija, Ispanija
Atracurio besilato Čilė, Italija, Peru, Venesuela
Atracurium Argentina, Austrija, Didžioji Britanija, Egiptas, Iranas, Italija, Jungtiniai Arabų Emyratai, Malaizija, Saudo Arabija, Švedija, Vokietija
Atracurium besilat Austrija
Atracurium besilate Australija, Egiptas, Iranas, Jungtinės Amerikos Valstijos, Jungtiniai Arabų Emyratai, Kanada, Naujojoje Zelandijoje, Saudo Arabija
Atralex Malaizija
Atrasyl Turkija
Besilato Atracurio Čilė, Ispanija, Portugalija
Faulcurium Egiptas, Portugalija
Gelolagar Argentina
Laurak Ispanija
Neucurium Turkija
Notrixum Turkija
Relactrac Kolumbija
Relatrac Meksikas
Tracrium Airija, Austrija, Belgija, Čilė, Didžioji Britanija, Egiptas, Ekvadoras, Graikija, Iranas, Ispanija, Italija, Jungtinės Amerikos Valstijos, Jungtiniai Arabų Emyratai, Kolumbija, Lenkija, Liuksemburgas, Malaizija, Marokas, Meksikas, Naujojoje Zelandijoje, Olandija, Portugalija, Prancūzija, Rumunija, Saudo Arabija, Slovėnija, Šveicarija, Turkija, Vengrija, Vokietija
Tracumek Peru
Tracurix Argentina
Tracuron Argentina
Tirpalų stabilumas   Įpurškimas   Tirpalų stabilumas : Atracurium besylate     
Pakuotė Tirpiklis Koncentracija Temperatūra Laikymas Stabilumo trukmė Nuorodos
Švirkštas polipropileno Natrio chloridas 0,9% 0,5 >> 5 mg/ml < 30°C Apsaugotas nuo šviesos
24 Valanda
3676
Gamintojo stabilumo duomenys

Švirkštas polipropileno Gliukozė 5% 0,5 >> 5 mg/ml < 30°C Apsaugotas nuo šviesos
24 Valanda
3676
Gamintojo stabilumo duomenys

Švirkštas polipropileno Nėra 10 mg/ml 25°C Nenurodyta
42 Diena
657
Bandymo lygis D

Švirkštas polipropileno Nėra 10 mg/ml 40°C Nenurodyta
7 Diena
657
Bandymo lygis D

Švirkštas polipropileno Nėra 10 mg/ml 5°C Apsaugotas nuo šviesos
42 Diena
657
Bandymo lygis D


  Mentions Légales