Останнє оновлення :
27/04/2026
Курариміметик   Atracurium besylate  
ін'єкція
Стійкість в розчинах Стійкість сумішей Фактори, що впливають на стабільність Сумісність Шлях введення Список літератури pdf
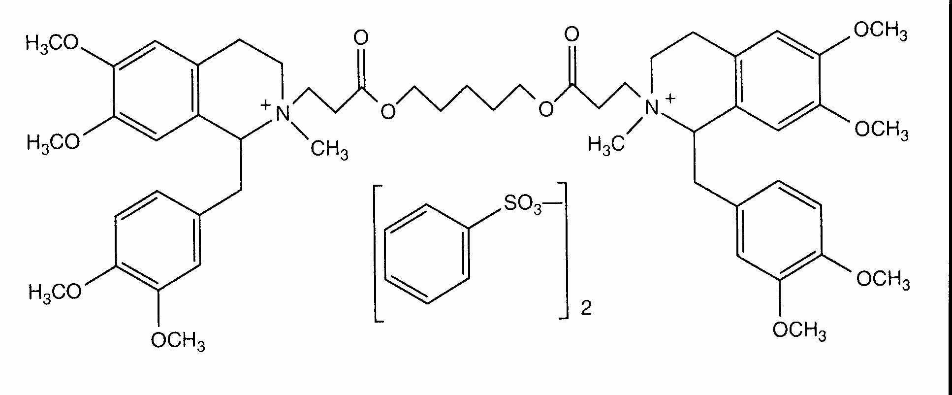
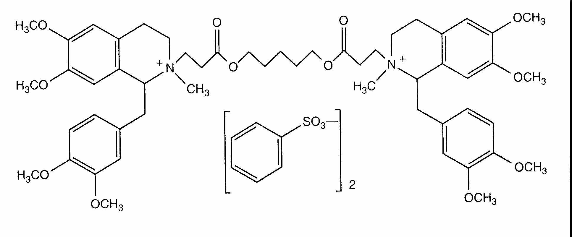
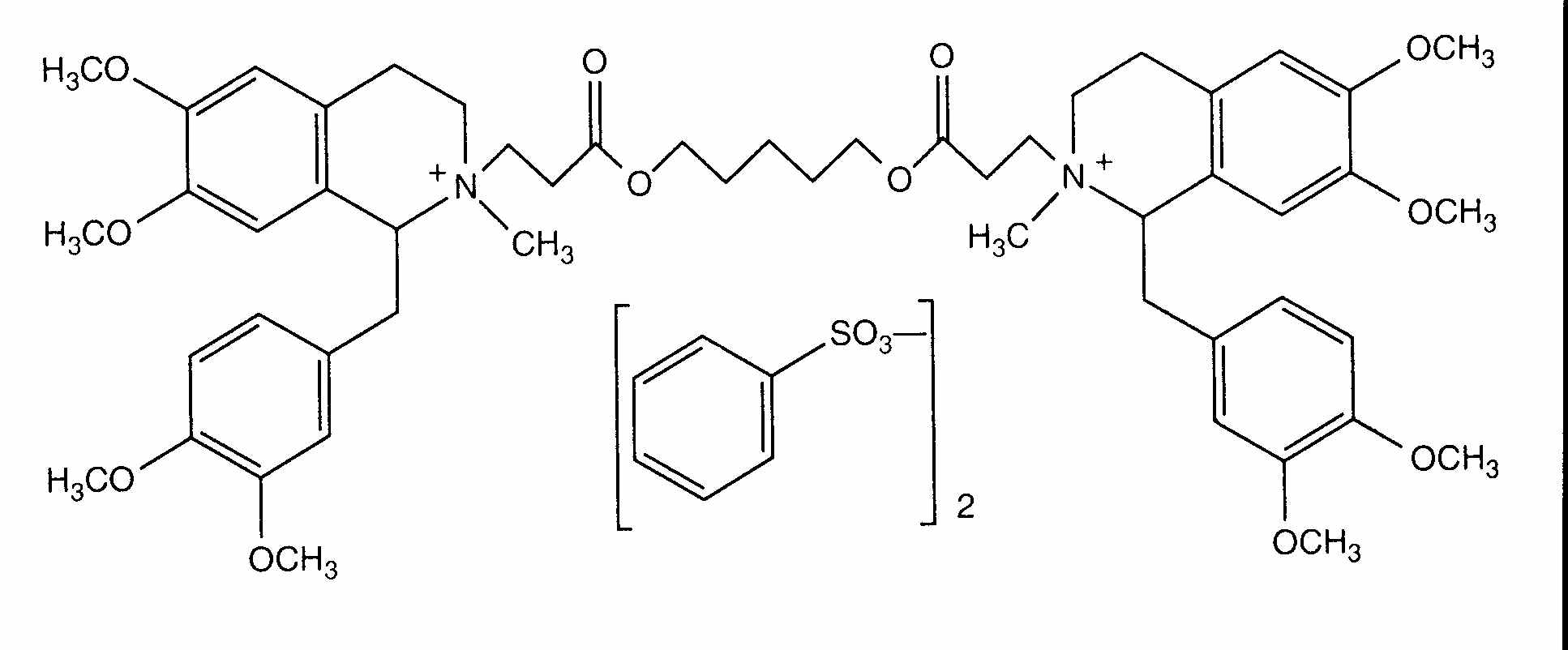
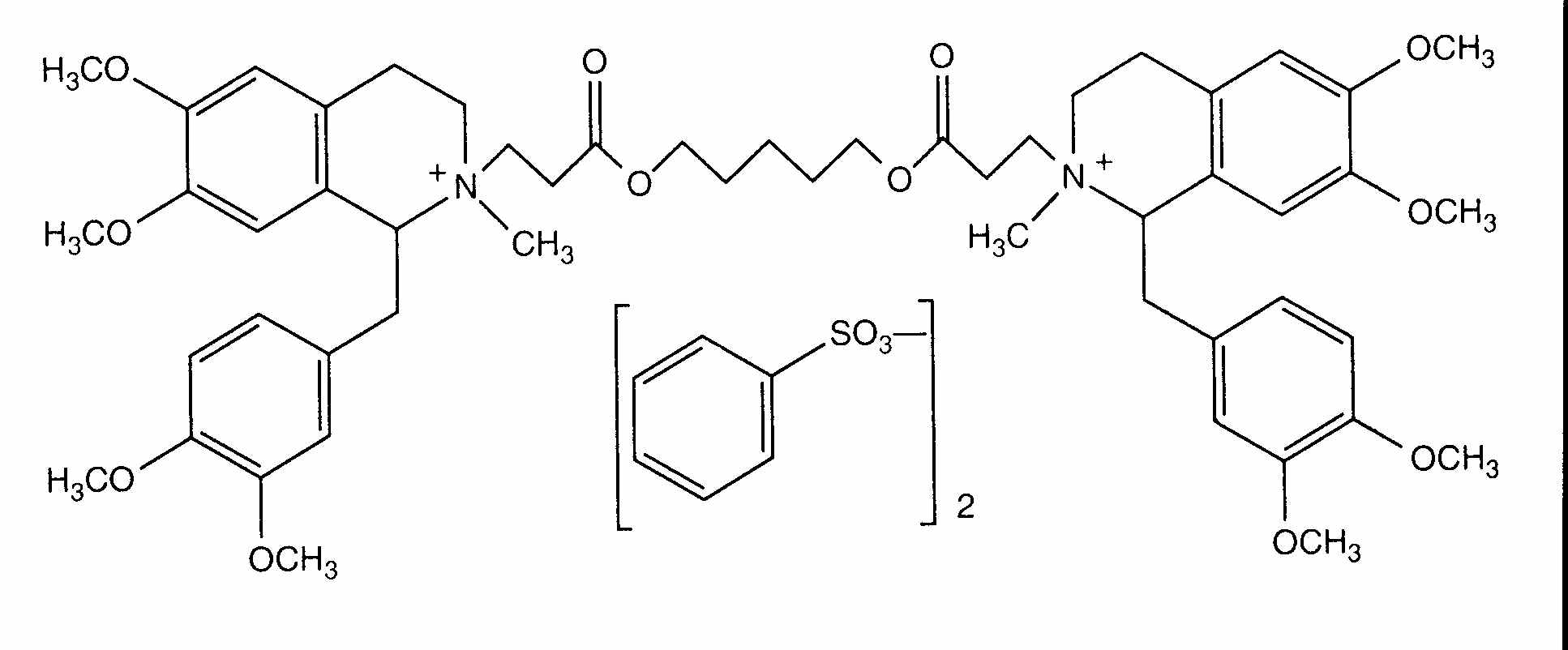
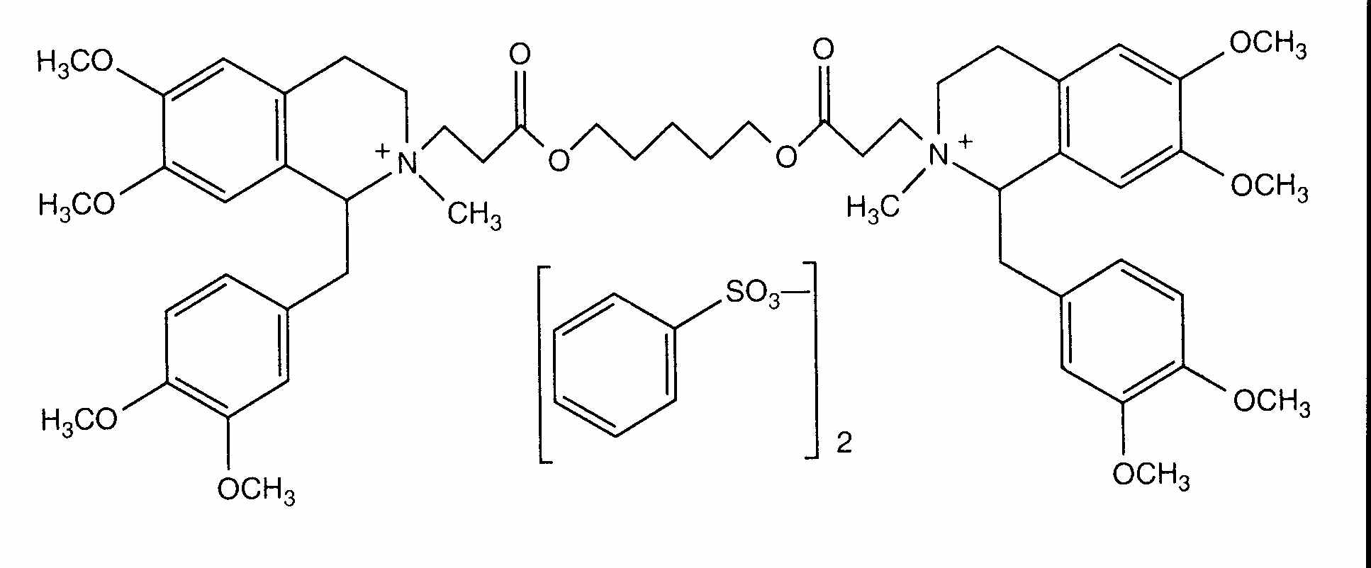
   Хімічна структура  

Торгова назва   Торгова назва     

Торгові назви є орієнтовними, а склад допоміжних речовин може бути різним залежно від країни та виробника

Abbocurium Польща
Acurmil Італія
Ancour Іран
Anecur Іран
Atacur Саудівська Аравія
Atrabesylate Єгипет
Atracurio Іспанія, Аргентина, Бразилія
Atracurio besilato Італія, Венесуела, Перу, Чилі
Atracurium Єгипет, Іран, Італія, Австрія, Аргентина, Великобританія, Малайзія, Німеччина, Об'єднані Арабські Емірати, Саудівська Аравія, Швеція
Atracurium besilat Австрія
Atracurium besilate Єгипет, Іран, Австралія, Канада, Нова Зеландія, Об'єднані Арабські Емірати, Саудівська Аравія, Сполучені Штати Америки
Atralex Малайзія
Atrasyl Туреччина
Besilato Atracurio Іспанія, Португалія, Чилі
Faulcurium Єгипет, Португалія
Gelolagar Аргентина
Laurak Іспанія
Neucurium Туреччина
Notrixum Туреччина
Relactrac Колумбія
Relatrac Мексика
Tracrium Єгипет, Іран, Ірландія, Іспанія, Італія, Австрія, Бельгія, Великобританія, Греція, Еквадор, Колумбія, Люксембург, Малайзія, Марокко, Мексика, Нідерланди, Німеччина, Нова Зеландія, Об'єднані Арабські Емірати, Польща, Португалія, Румунія, Саудівська Аравія, Словенія, Сполучені Штати Америки, Туреччина, Угорщина, Франція, Чилі, Швейцарія
Tracumek Перу
Tracurix Аргентина
Tracuron Аргентина
Шлях введення   Шлях введення :Atracurium besylate     
Маршрут
Внутрішньовенне
Внутрішньовенне вливання
Безперервна інфузія

  Mentions Légales