Ultimele actualizari :
27/04/2026
Curarizant   Atracurium besylate  
Injectabil
Stabilitatea in solutie Stabilitatea in amestec Factorii care influenteaza stabilitatea Compatibilitate Microunde Bibliografie pdf
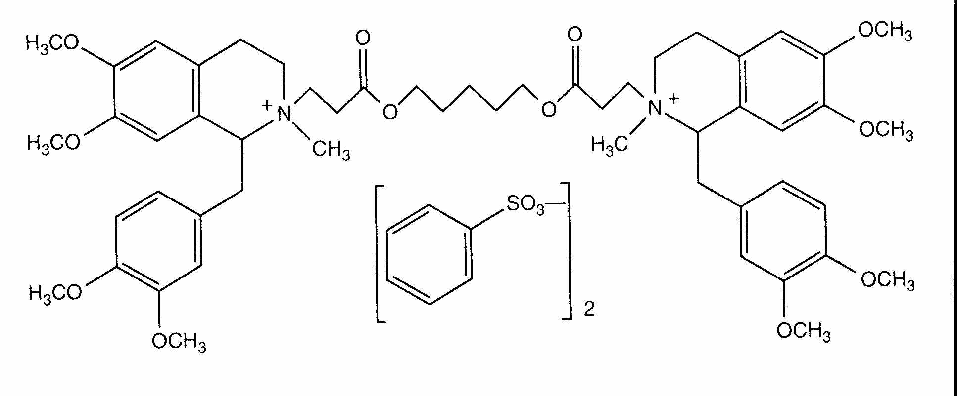
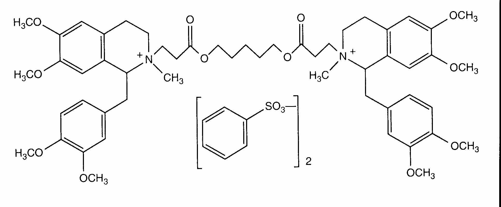
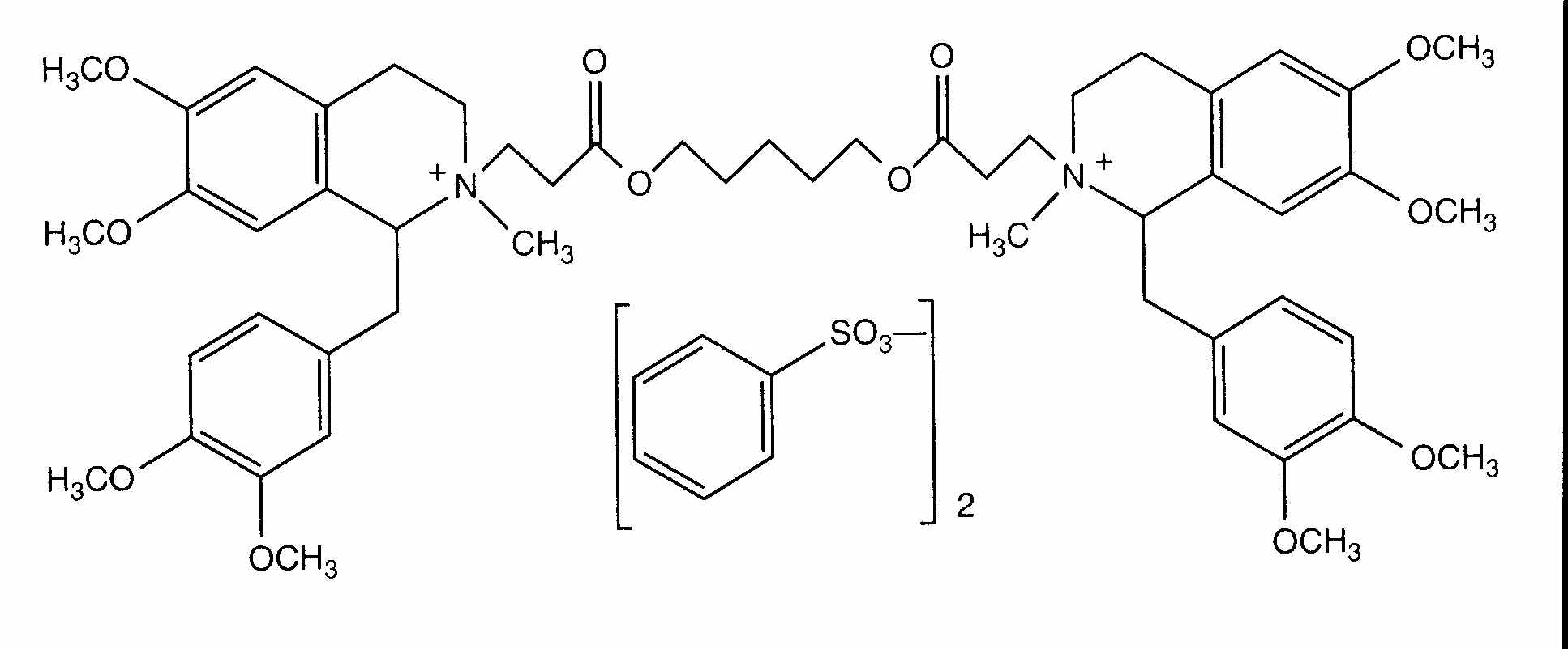
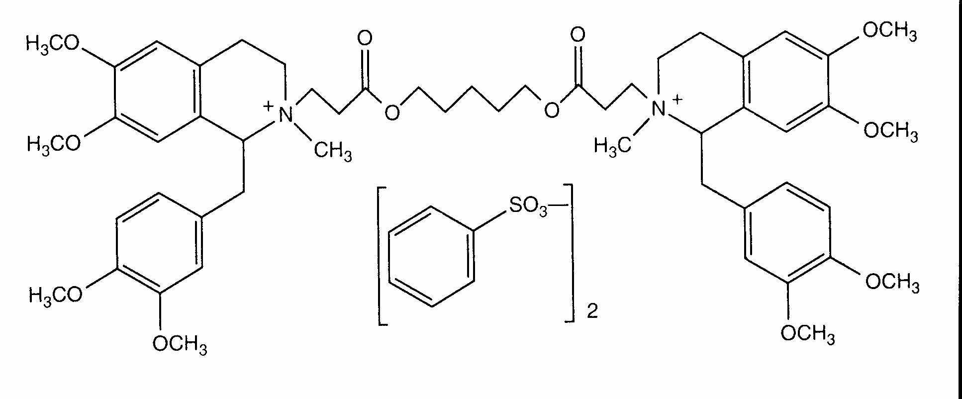
   Formula chimica  

Denumirea comerciala   Denumirea comerciala     

Trade names are indicative and excipients composition can be different depending on the country and manufacturers

Abbocurium Polonia
Acurmil Italia
Ancour Iran
Anecur Iran
Atacur Arabia Saudita
Atrabesylate Egipt
Atracurio Argentina, Brazilia, Spania
Atracurio besilato Chilli, Italia, Peru, Venezuela
Atracurium Arabia Saudita, Argentina, Austria, Egipt, Emiratele Arabe Unite, Germania, Iran, Italia, Malaezia, Marea Britanie, Suedia
Atracurium besilat Austria
Atracurium besilate Arabia Saudita, Australia, Canada, Egipt, Emiratele Arabe Unite, Iran, noua Zeelandă, SUA
Atralex Malaezia
Atrasyl Turcia
Besilato Atracurio Chilli, Portugalia, Spania
Faulcurium Egipt, Portugalia
Gelolagar Argentina
Laurak Spania
Neucurium Turcia
Notrixum Turcia
Relactrac Columbia
Relatrac Mexic
Tracrium Arabia Saudita, Austria, Belgia, Chilli, Columbia, Ecuador, Egipt, Elvetia, Emiratele Arabe Unite, Franta, Germania, Grecia, Iran, Irlanda, Italia, Luxemburg, Malaezia, Marea Britanie, Maroc, Mexic, noua Zeelandă, Olanda, Polonia, Portugalia, Romania, Slovenia, Spania, SUA, Turcia, Ungaria
Tracumek Peru
Tracurix Argentina
Tracuron Argentina
Microunde   Microunde :Atracurium besylate     
Voie
Intravenos
Perfuzie intravenoasa
Perfuzie in continuu

  Mentions Légales