Seneste opdatering :
27/04/2026
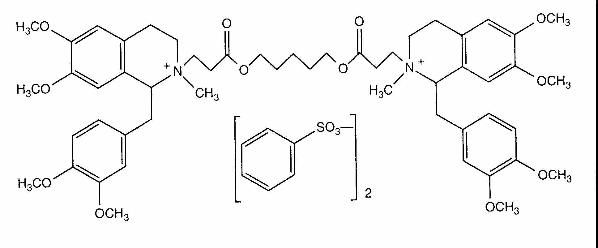
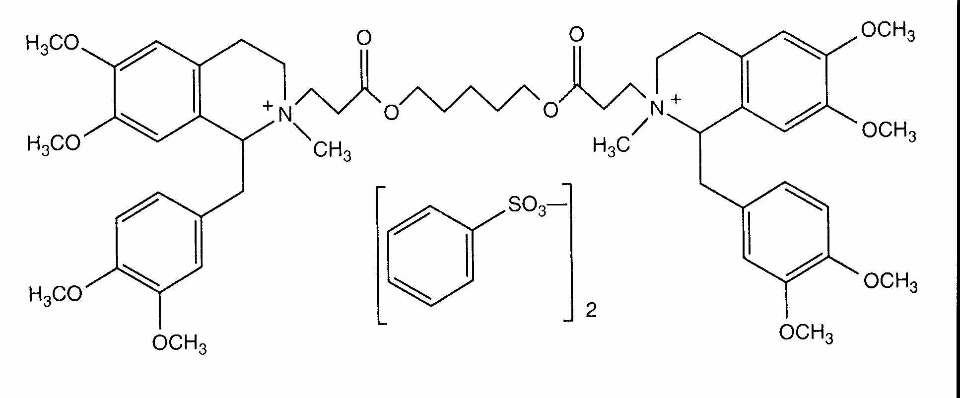
Curamimetisk   Atracurium besylate  
Injektion
Stabilitet i (vandige) opløsninger Stabilitet i blandinger Faktorer der påvirker stabiliteten Kompatibilitet Administrationsvej Bibliografi pdf
   Kemisk struktur  

Handelsnavn   Handelsnavn     

Handel navne er vejledende og hjælpestoffer sammensætning kan være forskellig afhængigt af landet og laboratorier

Abbocurium Polen
Acurmil Italien
Ancour Iran
Anecur Iran
Atacur Saudi-Arabien
Atrabesylate Ægypten
Atracurio Argentina, Brasilien, Spanien
Atracurio besilato Chile, Italien, Marokko, Venezuela
Atracurium Argentina, Forenede Arabiske Emirater, Iran, Italien, Malaysia, Saudi-Arabien, Storbritanien, Sverige, Tyskland, Ægypten, Østrig
Atracurium besilat Østrig
Atracurium besilate Australien, Canada, Forenede Arabiske Emirater, Iran, New Zealand, Saudi-Arabien, USA, Ægypten
Atralex Malaysia
Atrasyl Tyrkiet
Besilato Atracurio Chile, Portugal, Spanien
Faulcurium Portugal, Ægypten
Gelolagar Argentina
Laurak Spanien
Neucurium Tyrkiet
Notrixum Tyrkiet
Relactrac Colombia
Relatrac Mexico
Tracrium Belgien, Chile, Colombia, Ecuador, Forenede Arabiske Emirater, Frankrig, Grækenland, Holland, Iran, Irland, Italien, Luxemborg, Malaysia, Marokko, Mexico, New Zealand, Polen, Portugal, Rumænien, Saudi-Arabien, Schweiz, Slovenien, Spanien, Storbritanien, Tyrkiet, Tyskland, Ungarn, USA, Ægypten, Østrig
Tracumek Marokko
Tracurix Argentina
Tracuron Argentina
Administrationsvej   Administrationsvej :Atracurium besylate     
Voie
Intravenøs
Intravenøs infusion
Kontinuert infusion

  Mentions Légales