Last update :
27/04/2026
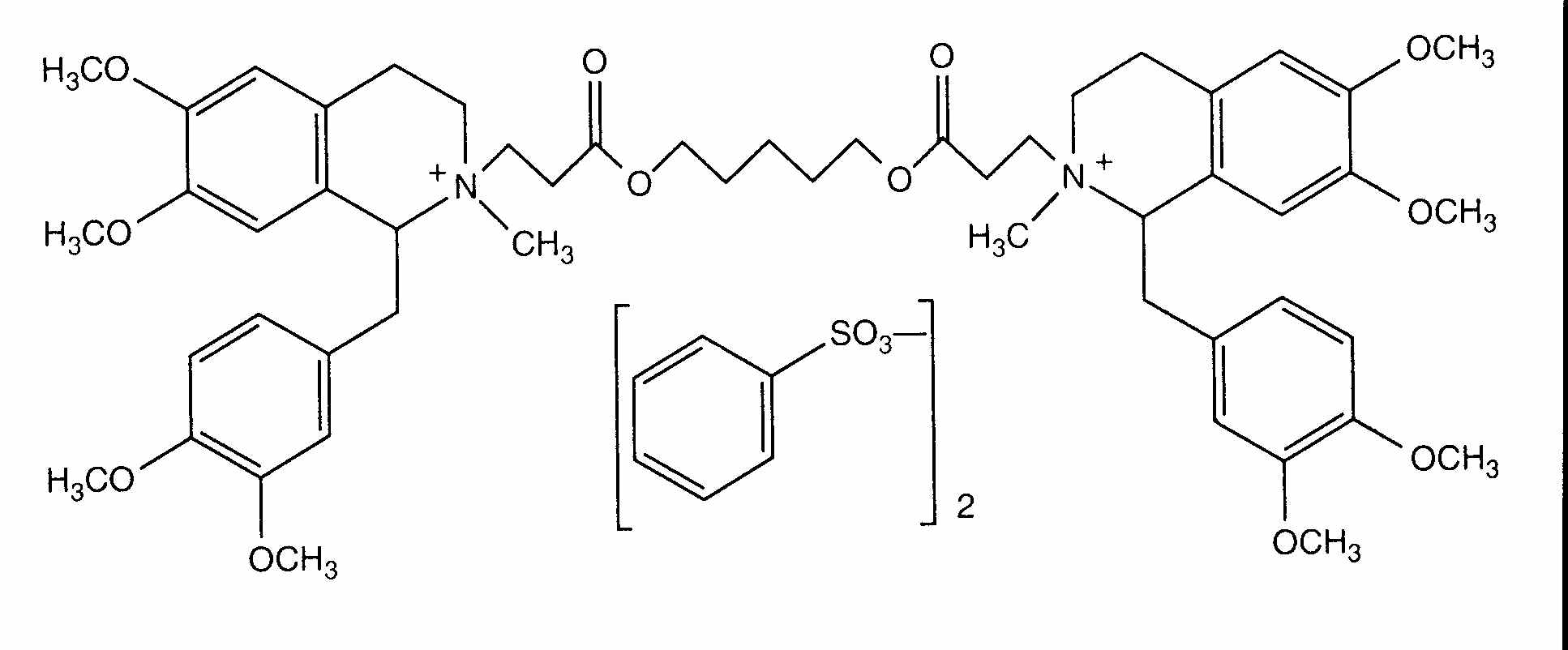
Curarimimetic   Atracurium besylate  
injection
Stability in solutions Stability of mixtures Factors which affect stability Compatibility Route of administration References pdf
   Chemical structure  

Tradename   Tradename     

Trade names are indicative and excipients composition can be different depending on the country and manufacturers

Abbocurium Poland
Acurmil Italy
Ancour Iran
Anecur Iran
Atacur Saudi Arabia
Atrabesylate Egypt
Atracurio Argentina, Brazil, Spain
Atracurio besilato Chile, Italy, Peru, Venezuela
Atracurium Argentina, Austria, Egypt, Germany, Great Britain, Iran, Italy, Malaysia, Saudi Arabia, Sweden, United Arab Emirates
Atracurium besilat Austria
Atracurium besilate Australia, Canada, Egypt, Iran, New Zealand, Saudi Arabia, United Arab Emirates, United States of America
Atralex Malaysia
Atrasyl Turkey
Besilato Atracurio Chile, Portugal, Spain
Faulcurium Egypt, Portugal
Gelolagar Argentina
Laurak Spain
Neucurium Turkey
Notrixum Turkey
Relactrac Colombia
Relatrac Mexico
Tracrium Austria, Belgium, Chile, Colombia, Ecuador, Egypt, France, Germany, Great Britain, Greece, Hungary, Iran, Ireland, Italy, Luxembourg, Malaysia, Mexico, Morocco, Netherlands, New Zealand, Poland, Portugal, Romania, Saudi Arabia, Slovenia, Spain, Switzerland, Turkey, United Arab Emirates, United States of America
Tracumek Peru
Tracurix Argentina
Tracuron Argentina
Route of administration   Route of administration :Atracurium besylate     
Route
Intravenous
Intravenous infusion
Continuous infusion

  Mentions Légales