Zadnji put ažurirano :
27/04/2026
narkotizirajuće djelovanje pomoću kurarina   Atracurium besylate  
injekcija
Stabilizacija rješenja Stabilnost mješavine Stabilizacijski faktor Kompatibilnosti način davanja lijeka Bibliografija pdf
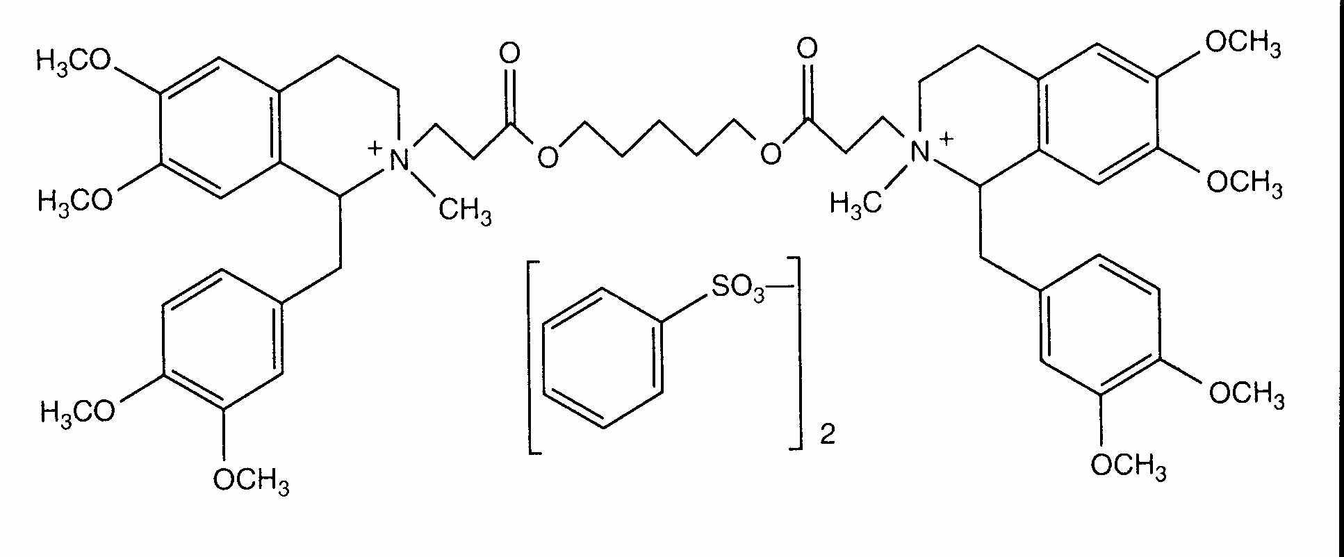
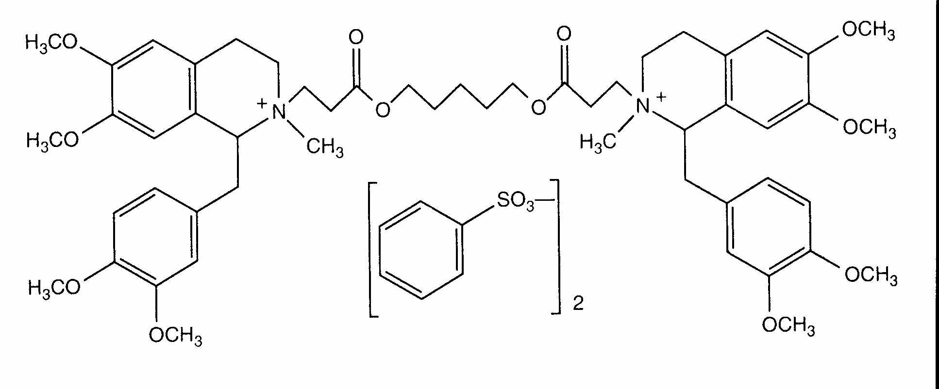
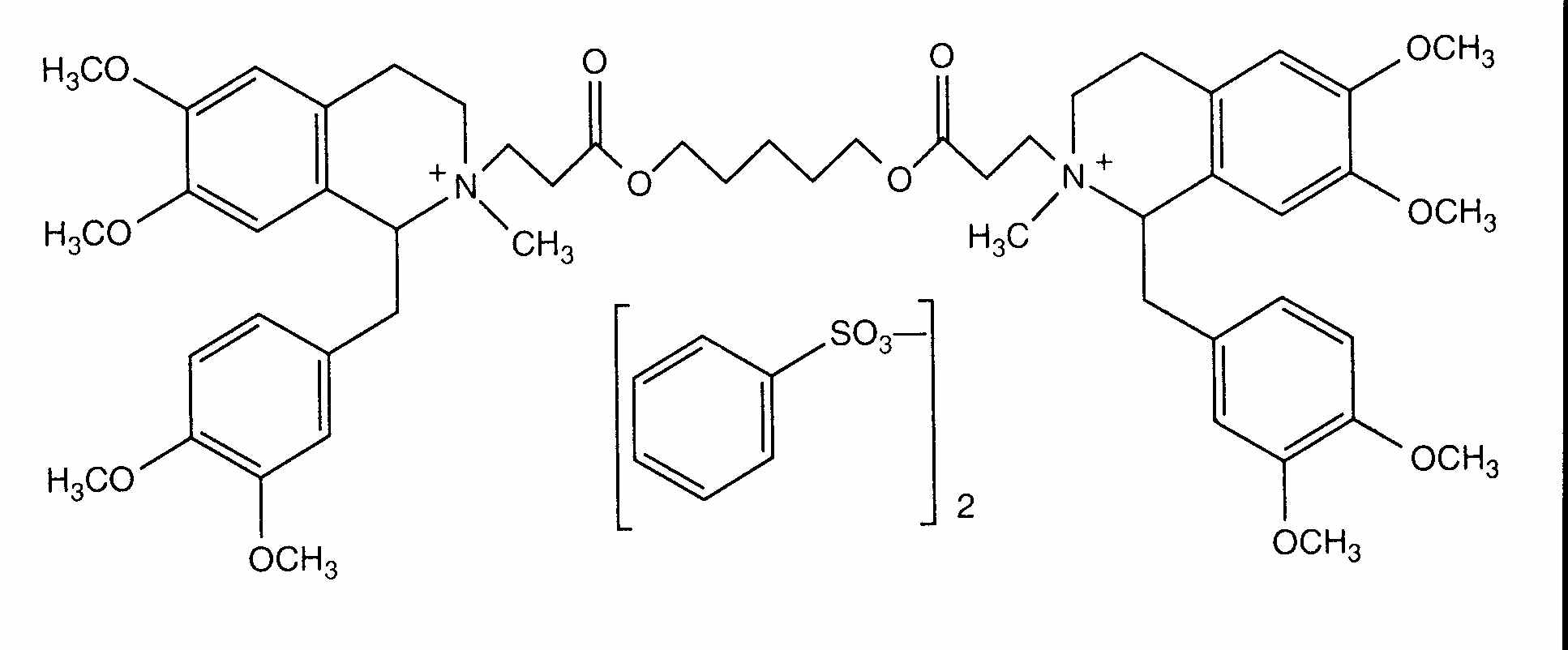
   Kemijska struktura  

Nekomercijalni   Nekomercijalni     

Zaštićeni nazivi su indikativni i sastav ekscipijensa može biti različit ovisno o državi i laboratorijima

Abbocurium Poljska
Acurmil Italija
Ancour Iran
Anecur Iran
Atacur Saudijska Arabija
Atrabesylate Egipat
Atracurio Argentina, Brazil, Španjolska
Atracurio besilato Čile, Italija, Peru, Venecuela
Atracurium Argentina, Austrija, Egipat, Iran, Italija, Malezija, Njemačka, Saudijska Arabija, Švedska, Ujedinjeni Arapski Emirati, Velika Britanija
Atracurium besilat Austrija
Atracurium besilate Australija, Egipat, Iran, Kanada, novi Zeland, S A D, Saudijska Arabija, Ujedinjeni Arapski Emirati
Atralex Malezija
Atrasyl Turska
Besilato Atracurio Čile, Portugal, Španjolska
Faulcurium Egipat, Portugal
Gelolagar Argentina
Laurak Španjolska
Neucurium Turska
Notrixum Turska
Relactrac Kolumbija
Relatrac Meksiko
Tracrium Austrija, Belgija, Čile, Egipat, Ekvador, Francuska, Grčka, Iran, Irska, Italija, Kolumbija, Luksemburg, Madžarska, Malezija, Maroko, Meksiko, Nizozemska, Njemačka, novi Zeland, Poljska, Portugal, Rumunjska, S A D, Saudijska Arabija, Slovenija, Španjolska, Švicarska, Turska, Ujedinjeni Arapski Emirati, Velika Britanija
Tracumek Peru
Tracurix Argentina
Tracuron Argentina
način davanja lijeka   način davanja lijeka :Atracurium besylate     
Voie
intravenozno
intravenozna infuzija
trajna perfuzija

  Mentions Légales