Senaste uppdateringen :
27/01/2026
Antibiotikum   Co-trimoxazole  
Oral lösning
injektion
Stabilitet av läkemedel Stabilitet i blandningar Faktorer som påverkar stabiliteten Kompatibilitet Hänvisningar pdf
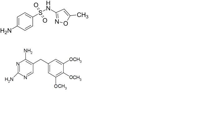
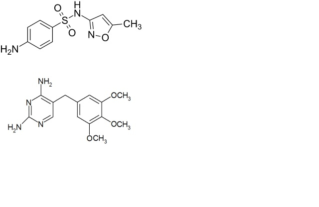
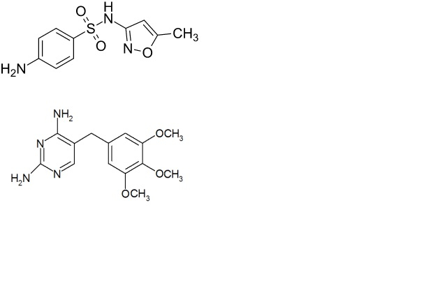
   Molekylstruktur  

Oral lösning

Faktorer som påverkar stabiliteten   Oral lösning   Faktorer som påverkar stabiliteten : Co-trimoxazole        
Ingen uppgift

  Mentions Légales