Ostatnia aktualizacja :
27/01/2026
Antybiotyk   Co-trimoxazole  
Roztwór doustny
Injekcje
Stabilność preparatów farmaceutycznych Trwałość w mieszaninie Czynnik wpływający na trwałość Zgodność Bibliografia pdf
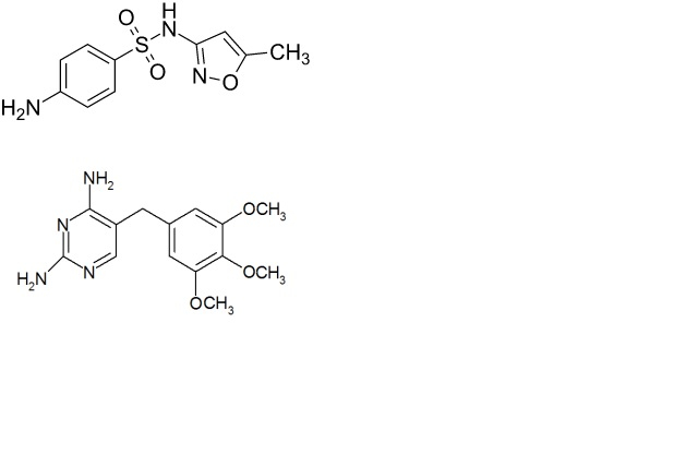
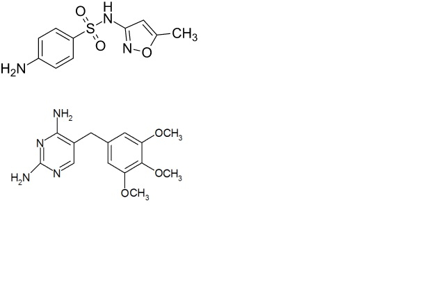
   Struktura chemiczna  

Roztwór doustny

Czynnik wpływający na trwałość   Roztwór doustny   Czynnik wpływający na trwałość : Co-trimoxazole        
Brak danych

  Mentions Légales