Posledná aktualizácia :
27/01/2026
antibiotikum   Co-trimoxazole  
Perorálny roztok
Injekcia
Stabilita farmaceutických prípravkov Stabilita v zmesiach Faktory ovplyvňujúce stabilitu Kompatibility Odkazy na literatúru PDF
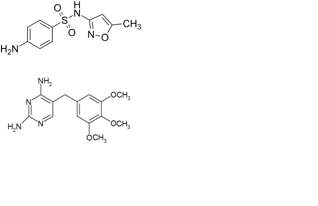
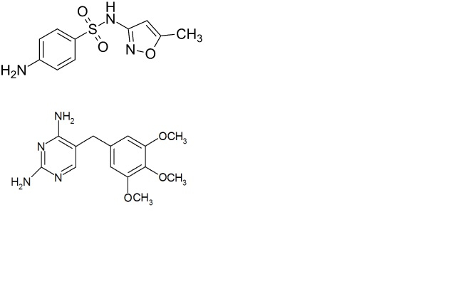
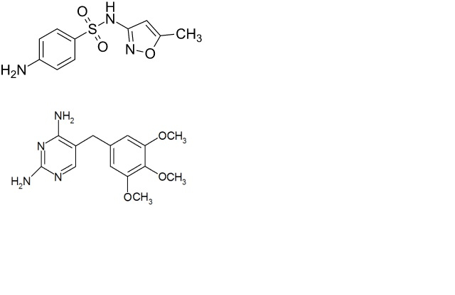
   Chemický vzorec  

Perorálny roztok

Faktory ovplyvňujúce stabilitu   Perorálny roztok   Faktory ovplyvňujúce stabilitu : Co-trimoxazole        
žiadne údaje

  Mentions Légales