最新更新 :
27/01/2026
抗菌薬   Co-trimoxazole  
経口液
注射薬
調剤時の安定性 混合時の安定性 安定性に影響する因子 互換性 引用文献 PDF
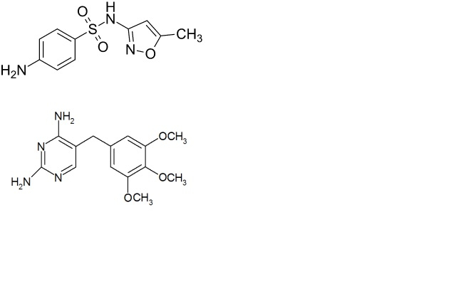
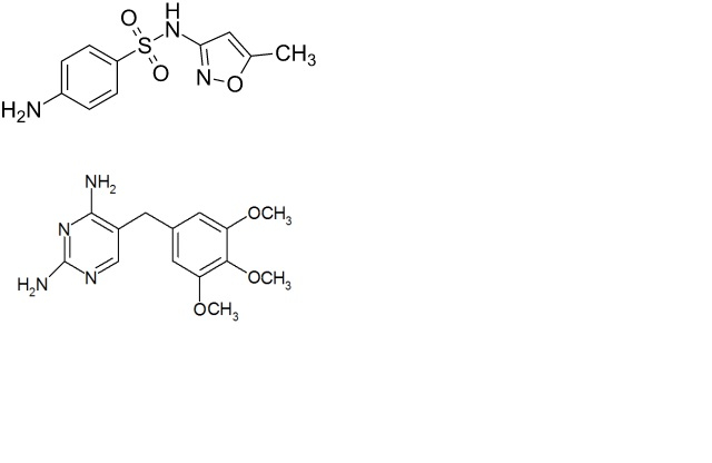
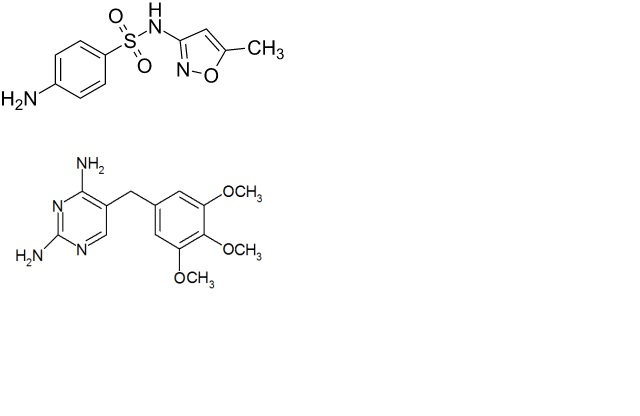
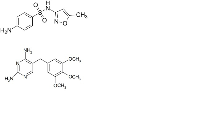
   化学構造  

経口液

安定性に影響する因子   経口液   安定性に影響する因子 : Co-trimoxazole        
データなし

  Mentions Légales