Ultimele actualizari :
27/01/2026
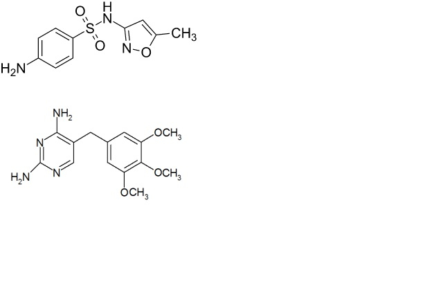
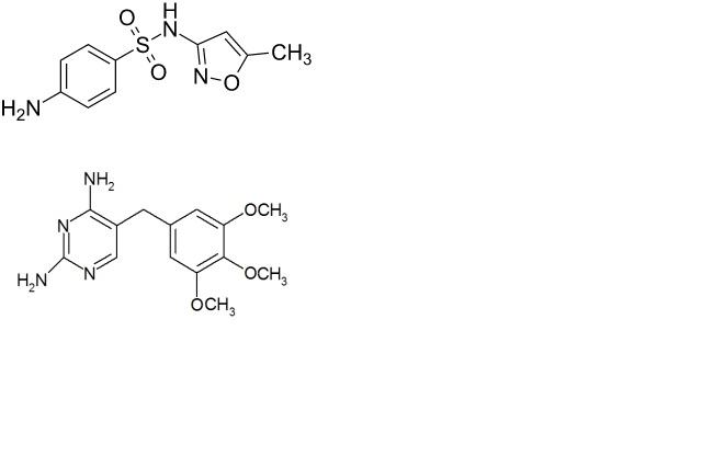
Antibiotic   Co-trimoxazole  
Soluţie orală
Injectabil
Stabilitatea preparatelor farmaceutice Stabilitatea in amestec Factorii care influenteaza stabilitatea Compatibilitate Bibliografie pdf
   Formula chimica  

Soluţie orală

Factorii care influenteaza stabilitatea   Soluţie orală   Factorii care influenteaza stabilitatea : Co-trimoxazole        
Absenta de date

  Mentions Légales