Última actualización :
27/04/2026
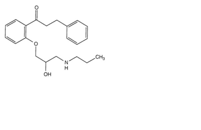
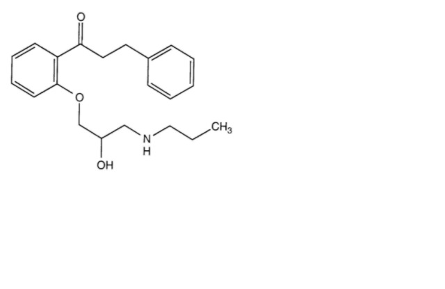
Antiarrítmico   Propafenone Hydrochloride  
Solución Oral
Inyectables
La estabilidad de las preparaciones farmacéuticas Estabilidad en mezcla Factores que influyen sobre la estabilidad Compatibilidades Bibliografía pdf
   Estructura química  

Solución Oral
Bibliografía   Solución Oral   Bibliografía : Propafenone Hydrochloride  
Tipo Publicación
4547 periódico Lin Y-S, Lin S-C, Hsieh Y-T,Liu L-Y,Lin C-H, Shen L-J, Huang C-F.
Formulation and stability of an extemporaneously compounded propafenone hydrochloride oral suspension for children with arrhythmia.
EJHP 2021

  Mentions Légales