Τελευταία ενημέρωση :
27/04/2026
Αντιαρρυθμικό   Propafenone Hydrochloride  
Πόσιμο διάλυμα
Ενέσιμο
Σταθερότητα και συμβατότητα των φαρμάκων Σταθερότητα σε μίγματα Παράγοντας που επηρεάζει τη σταθερότητα Συμβατότητες Βιβλιογραφία pdf
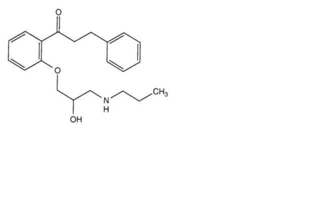
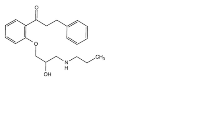
   χημική δομή  

Πόσιμο διάλυμα
Βιβλιογραφία   Πόσιμο διάλυμα   Βιβλιογραφία : Propafenone Hydrochloride  
τύπος δημοσίευση
4547 εφημερίδα Lin Y-S, Lin S-C, Hsieh Y-T,Liu L-Y,Lin C-H, Shen L-J, Huang C-F.
Formulation and stability of an extemporaneously compounded propafenone hydrochloride oral suspension for children with arrhythmia.
EJHP 2021

  Mentions Légales