آخر تحديث :
27/04/2026
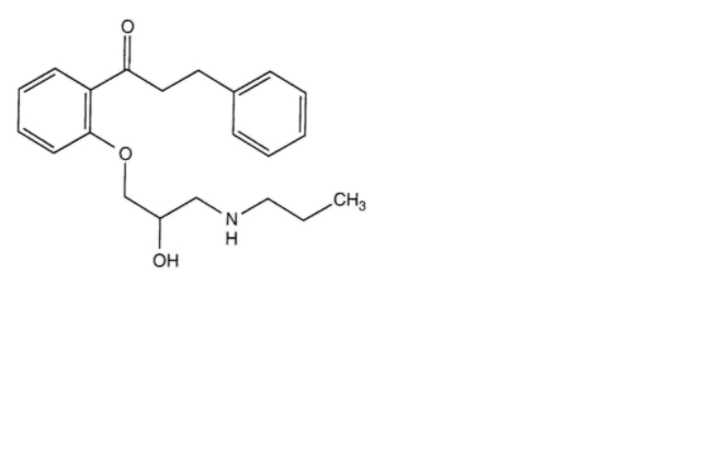
مكافحة عدم اتساق نبضات القلب   Propafenone Hydrochloride  
عن طريق الفم
حقن
استقرار المستحضرات الصيدلانية استقرار مخاليط العوامل التي تؤثر على الاستقرار التوافق مراجع pdf
   التركيب الكيميائي  

عن طريق الفم
مراجع   عن طريق الفم     مراجع : Propafenone Hydrochloride  
نوع منشور
4547 مجلة Lin Y-S, Lin S-C, Hsieh Y-T,Liu L-Y,Lin C-H, Shen L-J, Huang C-F.
Formulation and stability of an extemporaneously compounded propafenone hydrochloride oral suspension for children with arrhythmia.
EJHP 2021

  Mentions Légales