最新更新 :
27/04/2026
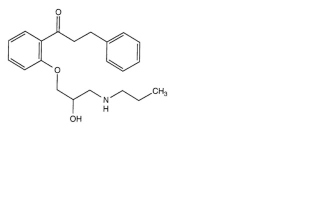
抗心律不齐药   Propafenone Hydrochloride  
口服剂
注射液
制剂的稳定性 混合物稳定性 影响稳定性的因素 兼容性 引用文献 PDF
   化学式  

口服剂
引用文献   口服剂   引用文献 : Propafenone Hydrochloride  
种类 出版物
4547 文献 Lin Y-S, Lin S-C, Hsieh Y-T,Liu L-Y,Lin C-H, Shen L-J, Huang C-F.
Formulation and stability of an extemporaneously compounded propafenone hydrochloride oral suspension for children with arrhythmia.
EJHP 2021

  Mentions Légales