Poslední aktualizace :
27/04/2026
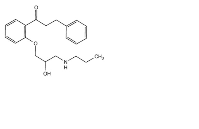
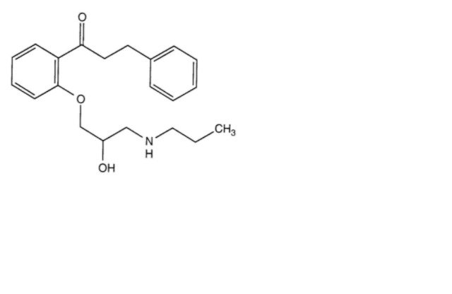
Antiarytmikum   Propafenone Hydrochloride  
Perorální roztok
injekce
Stabilita farmaceutických přípravků Stabilita směsí Faktory ovlivňující stabilitu Kompatibilita Odkazy pdf
   Chemický vzorec  

Perorální roztok
Odkazy   Perorální roztok   Odkazy : Propafenone Hydrochloride  
typ uveřejnění
4547 noviny Lin Y-S, Lin S-C, Hsieh Y-T,Liu L-Y,Lin C-H, Shen L-J, Huang C-F.
Formulation and stability of an extemporaneously compounded propafenone hydrochloride oral suspension for children with arrhythmia.
EJHP 2021

  Mentions Légales