Последнее обновление :
27/01/2026
Сосудорасширяющее средство   Ambrisentan  
Раствор для перорального приёма
Стабильность фармацевтических препаратов Стабильность смесей Факторы, которые влияют на стабильность Совместимость Библиография pdf
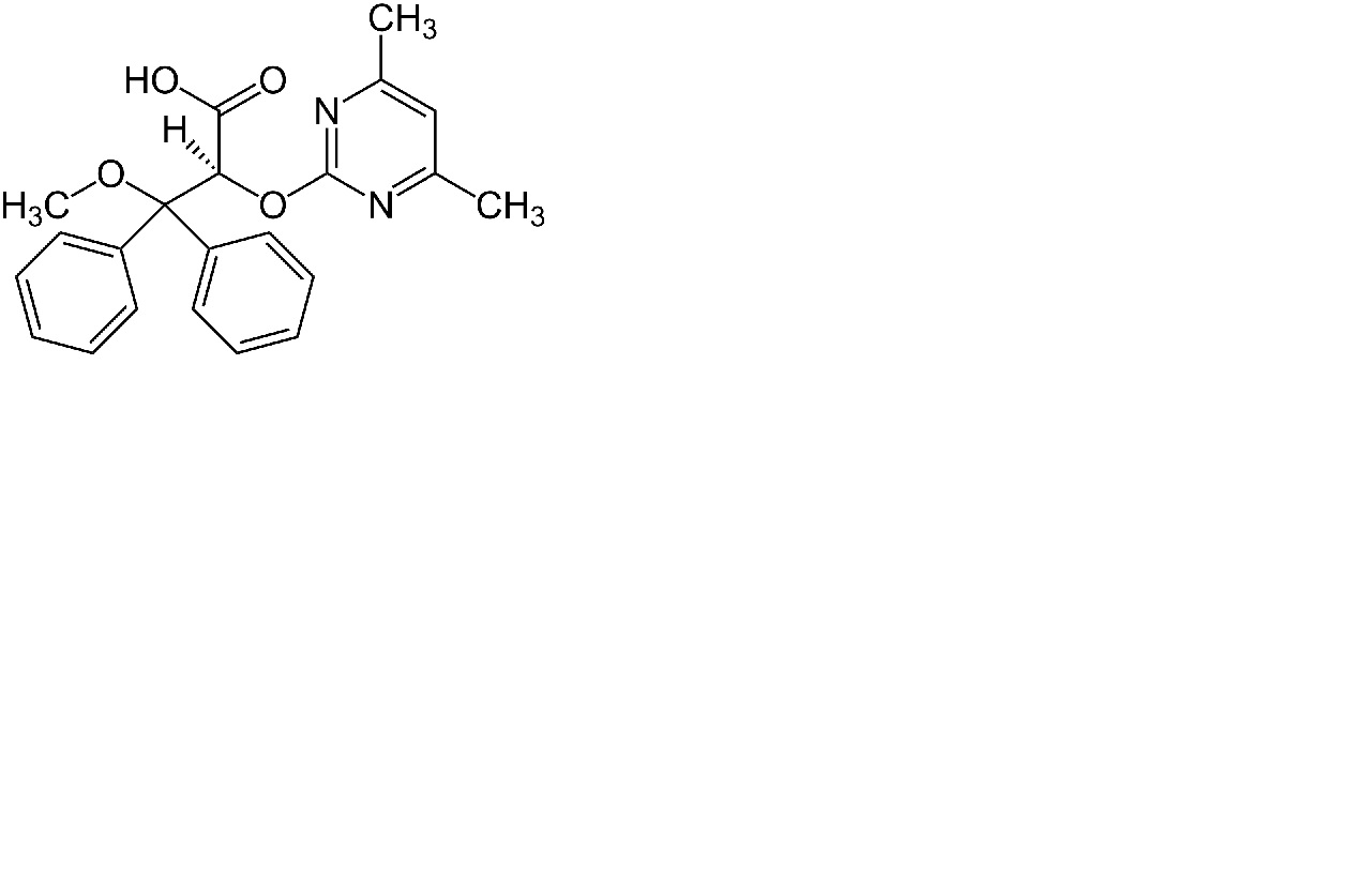
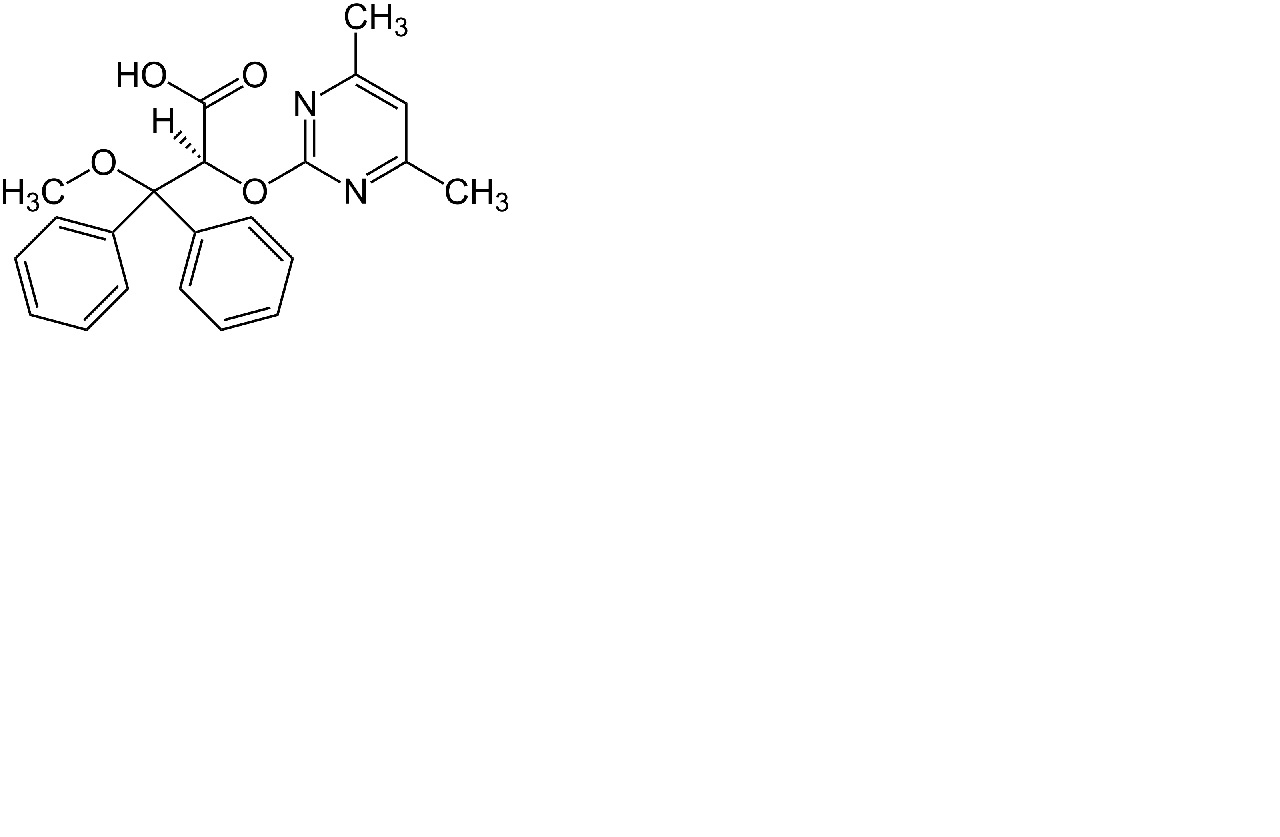
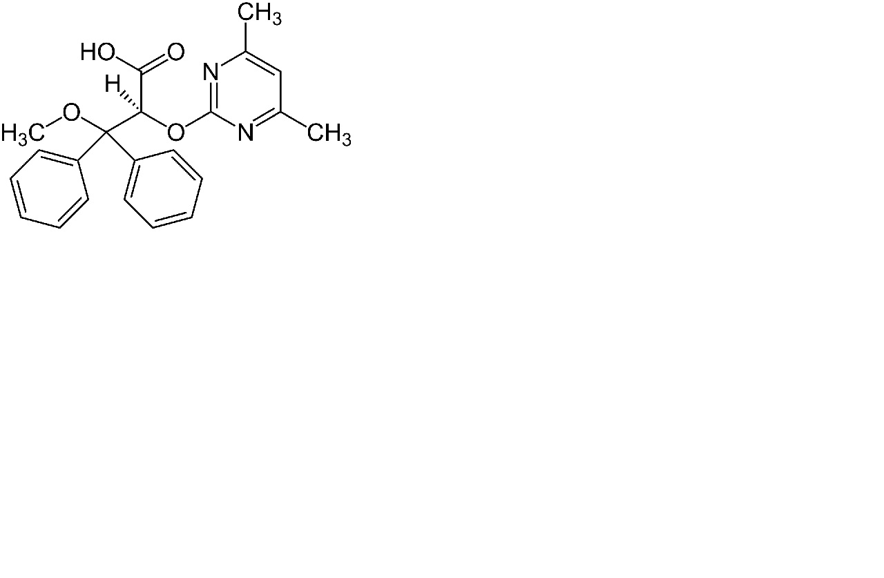
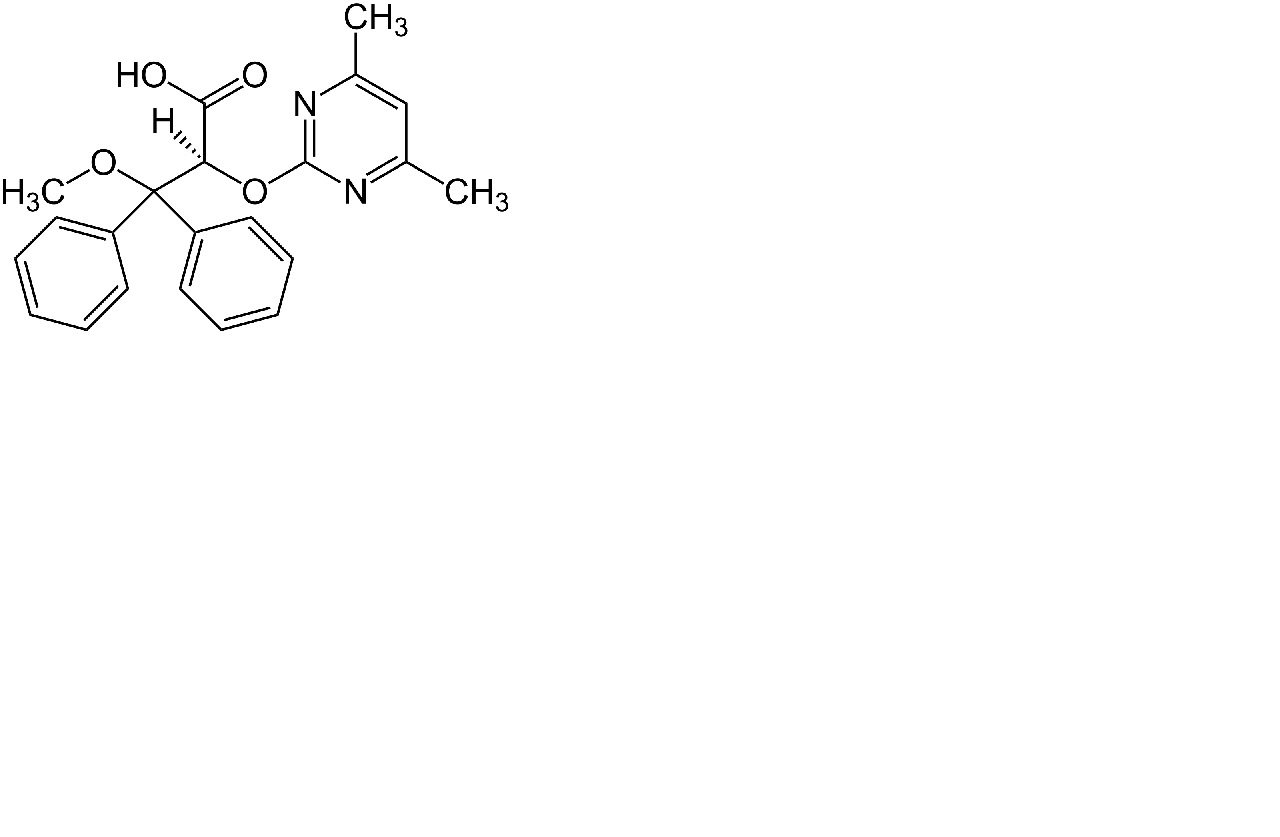
   Химическая структура  

Раствор для перорального приёма
Стабильность смесей   Раствор для перорального приёма   Стабильность смесей : Ambrisentan     
данных нет

  Mentions Légales