Τελευταία ενημέρωση :
27/04/2026
Θρομβολυτικό   Ambrisentan  
Πόσιμο διάλυμα
Σταθερότητα και συμβατότητα των φαρμάκων Σταθερότητα σε μίγματα Παράγοντας που επηρεάζει τη σταθερότητα Συμβατότητες Βιβλιογραφία pdf
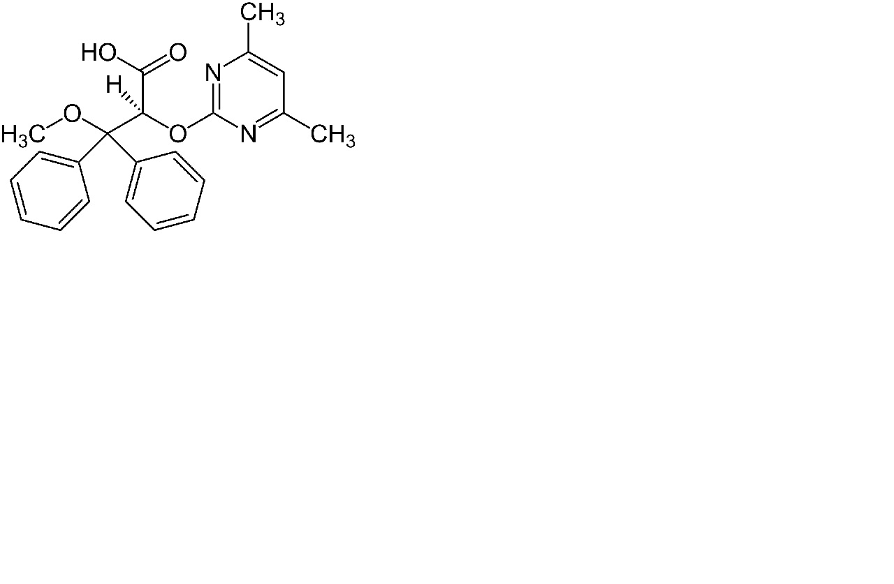
   χημική δομή  

Πόσιμο διάλυμα
Σταθερότητα σε μίγματα   Πόσιμο διάλυμα   Σταθερότητα σε μίγματα : Ambrisentan     
Δεν υπάρχουν πληροφορίες

  Mentions Légales